1. 서 론
발파굴착은 화약류 등의 폭발력을 이용하여 암반을 굴착하는 방법으로 터널굴진 및 지하공간 개발의 경우 발파에 의한 굴착(이하, 터널발파)이 널리 적용된다. 국내에서는 최근 광역-도시철도(예: 수도권광역급행철도) 연장 등 대형 지하공사가 증가함에 따라 터널발파가 빈번히 수행된다. 이러한 터널발파는 필연적으로 소음 및 진동을 동반하며 이로 인해 주변 환경이나 시설물에 피해를 유발시킬 수 있어 철저한 기술-행정적 관리가 필요하다. 특히, 도심지의 경우 도로하부에 터널이 통과하는 경우가 많은바 아스팔트포장의 열화 및 균열 발생으로 인한 내구성 저하와 연관되는 터널발파에 따른 도로하부 지반진동의 특성의 올바른 이해가 요구된다.
터널발파에 의한 지반진동은 광물, 토질, 지질과 같은 내재적 특성과 폭원과 측점간 거리, 굴착단면의 크기와 형상, 자유면의 수와 형태, 발파공의 배치, 직경, 깊이와 각도, 폭약의 종류와 장약량, 전색의 재료와 방법, 기폭의 순서와 지연과 같은 외재적 특성에 의존한다(Ainalis et al., 2017; Yan et al., 2020).
지금까지 국내에서 터널발파에 따른 지반진동에 관한 다양한 연구가 수행되었다. Baek et al.(2006)은 터널형 비상여수로 건설 전 수행된 시험발파 결과와 3차원 수치해석 결과를 비교하였다. Yoon et al.(2008)은 전자식 및 비전기식 뇌관에 따른 발파진동 및 굴진효율을 비교하여 전자식 뇌관의 적용을 강조하였다. Lee et al.(2012)는 미진동화약을 적용한 터널발파를 실시하고 현장 적용형 표준발파패턴 및 발파진동 예측모델을 제시하였다. Kim et al.(2013)은 터널발파를 심발부와 확대부로 구분하고 뇌관 종류에 따른 근거리 발파진동 특성을 분석하였다. Oh et al.(2017)은 터널발파를 통해 전자식 뇌관과 미진동화약을 조합한 제어발파공법을 제안하였다. Hwang et al.(2018)은 대단면 터널발파 현장의 측정자료로부터 확대공, 외곽공, 바닥공의 발파패턴에 따른 지반진동 특성을 평가하였다. Jung et al.(2023)은 전자식 뇌관을 적용한 터널발파를 통해 구조물 유형에 따른 발파진동의 영향 범위를 산정하였다. 이와 같이 발파제원과 패턴이 지반진동 특성에 미치는 영향성에 관한 연구가 다수 수행되었으나 국내 터널발파 측정자료를 이용한 발파진동 예측모델의 성능 평가에 관한 연구는 제한적이다.
본 연구에서는 지하철도 터널발파에 따른 도로하부 지반진동의 특성을 분석하고 원통형 무장약공의 특성과 뇌관의 종류가 발파진동에 미치는 영향을 평가한다. 이를 위해 서울권역 지하철도 건설 중 수행된 터널발파의 측정자료를 이용한다. 또한, 발파자료를 이용하여 다양한 발파진동 예측모델들의 성능을 평가하고, 발파거리에 따른 허용발파기준을 만족하는 장량약을 제시한다.
2. 이론적 배경
발파진동은 지표면이나 지하에 위치한 여러 진동원이 발생시킨 진동에너지가 응력파의 형태로 지반 매질을 통해 전파되면서, 그 과정에서 지반을 이루는 토립자가 진동하여 움직이는 물리적 현상을 의미한다. 발파진동은 일반적으로 입자속도(particle velocity)와 진동수(frequency)로 정량화되며, 입자속도는 Fig. 1과 같이 폭원으로부터 측점을 향하는 평면상에서 진행방향(longitudinal), 접선방향(transversal), 수직방향(vertical)의 세 축에 대해 측정한다. 최대입자속도(peak particle velocity, PPV)는 세 방향의 속도-시간 이력 중 방향과 상관없이 가장 큰 입자속도 또는 세 방향 최대값의 벡터 합으로 정의한다. 전자로 계산된 PPV가 후자에 비해 상대적으로 작은 값을 제공하는 경향이 있다(Dowding, 1985). 보통 발파진동의 진동수가 클수록 구조물의 손상을 일으키는 최대입자속도는 크다.
지금까지 발파에 따른 발파진동을 예측할 수 있는 다양한 모델이 제안되었으며 발파진동의 크기인 PPV (mm/s)는 지발당 장약량(Q, kg)과 폭원으로부터의 거리(D, m)의 함수로 표현된다.
여기서 K, m, n은 암반의 물리·지질학적 특성 및 발파조건울 반영하는 경험상수이다. 식 (1), (2), (3), (4), (5), (6)으로부터 D가 감소하고 Q가 증가할수록 발파진동은 증가하는 것을 알 수 있다. 발파진동의 예측모델은 특정 현장의 발파조건과 지반특성에 기초하여 식의 형태가 정립되고 그에 대한 경험상수가 도출된바 각 예측모델의 정확도는 대상지역의 장약-지질-토질 특성에 따라 달라진다. 암반의 발파진동 평가에 널리 사용되는 식 (1)과 식 (2)는 각각 Duvall and Petkof(1959)와 Ambraseys and Hendron(1968)에 의해 제안되었으며, 식의 D/Q1/2과 D/Q1/3은 각각 자승근 및 입방근 환산거리(Ds, Dc)라 표현된다. 식 (3)과 식 (4)는 각각 Langefors and Kihlström(1963)과 Bureau of Indian Standard(1973)에 의해 제안된 식으로 장약 설치의 기하특성을 반영하기 위해 기본식에서 변수 D와 Q의 멱급수를 조정한 식으로 예측모델 간의 유사성 때문에 모델의 성능평가 연구에 이용된다. Pal Roy(1991)가 제안한 식 (5)는 기하학적 확장(geometrical spreading)에 의한 발파진동의 감소를 고려하며, 경험상수 m은 항상 음수의 값을 가진다(Ak and Konuk, 2008). 식 (6)은 Davies et al.(1964)에 의해 제안된 것으로 두 개의 경험상수를 갖는 다른 식들과 달리 세 개의 경험상수를 포함한다. 한편, 식 (1)과 식 (2)는 각각 미국 USBM(United States Bereau of Mines)과 인도 CMRI(Central Mining Research Institute)의 발파진동 예측모델로 채택되었다.
3. 연구지역
Fig. 2는 본 연구가 수행된 지역으로 서울특별시와 경기도를 연결하는 광역철도 건설현장이다. 발파 및 진동의 측정은 도심지 하부(심도 43-52 m)를 굴진하는 터널공사 중 시행되었다. 해당지역은 경기육괴에 속하는 선캄브리아기 편마암을 이루고 있으며 중간 또는 심한 풍화상태를 보인다(Jeong et al., 2015). 이러한 암반은 석영, 사장석, 흑운모, 각섬석 및 장석의 광물로 구성되며 그 위에 두께 1.5-7 m의 붕적토와 충적토가 위치한다.
Fig. 3은 터널 노선상의 지층분포를 나타내며 이는 그림에 표기된 6개의 시추공(BH1-BH6)으로부터 도출되었다. 지층은 풍화토(또는 하천퇴적층), 풍화암, 연암, 경암의 층상구조를 이룬다. 현장의 표준관입시험과 시추를 통해 얻은 흙과 암석의 시료에 대한 실내시험을 수행하였고 그 결과는 Table 1로 요약된다.
4. 터널발파 프로그램
발파는 현장의 지질-토질 상태를 고려하고 심발공과 외곽공을 다르게 배치되도록 설계하였다. Fig. 4는 본 연구의 세 가지 발파패턴을 보여준다. Figs. 4(a)와 4(c)는 심발공이 발파단면의 정중앙에 하나의 무장약공이 배치된 패턴이고 Fig. 4(b)는 심발공이 중심부에 좌우의 병렬로 두 무장약공이 배치된 패턴이다. 보통 원통형 심발공의 직경은 65-175 m이 적용(Jimeno et al., 1995)되며 무장약공의 직경이 증가할수록 단위발파당 터널굴진량이 증가한다(Yilmaz, 2023). 본 연구에서는 세 발파패턴 모두 362 mm의 직경을 적용하였다. 또한, 발파효율 향상을 위한 쐐기형 파괴를 유도하기 위해 무장약공의 길이는 외곽공보다 긴 9 m 또는 11 m를 적용하였다. 한편, 기폭을 위해 비전기식과 전자식 뇌관을 사용하였고 이들의 점화 지연시간은 각각 10-1 s와 10-3 s의 정확도를 가진다. Table 2는 세 발파패턴의 제원을 나타내며 패턴명 C1N, C2N, C1E는 각각 Figs. 4(a), 4(b), 4(c)에 해당한다.
Table 2.
Design of uncharged holes and blastholes
발파진동은 세(진행, 수직, 접선) 방향의 자유장 진동 측정이 가능한 3축 지오폰(geophone)의 지진계를 사용하였고, 이는 0.1-100 mm/s 범위의 입자속도를 측정할 수 있다. 터널발파 직후 지반을 통해 전달되는 발파진동은 지진계를 통해 시간에 따른 입자속도로 측정하며 본 연구에서는 세 방향의 시간-입자속도 이력곡선 중 방향과 상관없이 가장 큰 값의 입자속도를 PPV로 결정하였다. 한편, 폭원과 측점간 거리는 범지구위치결정시스템(global positioning system, GPS)을 이용하여 산정하였다.
Fig. 5는 터널굴진에 따른 발파진동의 측정위치를 보여주며, 측정은 고정식과 이동식 계측으로 구분된다. 고정식 측정은 그림에서 표기된 세 지점(S1, S2, S3)에 지진계를 고정으로 설치하고 터널발파에 따른 발파진동을 터널굴진에 따라 측정한다. 이동식 계측은 매회의 터널발파마다 지진계를 발파지점 직상부에 설치하고 측정하며 터널굴진에 따라 지진계를 이동시킨다. Fig. 5의 하단에 터널굴진에 따른 구간별 발파패턴(C1N, C2N, C1E)이 표시되어 있다.
5. 측정결과 및 분석
발파진동은 터널굴진 방향으로 458m 구간에 걸쳐 수행된 터널발파 과정에서 총 434회 측정되었다. Fig. 6은 진행방향, 접선방향, 수직방향에서 각각 측정된 지반진동에 대한 대표적인 입자속도의 시간-이력곡선을 보여준다. 터널발파는 약 3.3초 동안 측정방향과 상관없이 주요한 진동을 발생시켰고 그 크기는 수직방향에서 가장 크게 측정되었다. 그 이후 지반진동은 급격히 감소하여 진행방향에서만 작은 진폭의 진동이 측정되었다. Table 3은 세 발파패턴에 대한 발파조건 및 진동 측정결과를 요약한 것으로 PPV는 0.04-1.92 mm/s의 범위를 보인다.
Table 3.
Summary of blasting vibration measurement
발파조건(폭원으로부터의 거리, 장약량)과 지반진동 측정값을 이용하여 발파패턴에 대한 발파진동의 특성을 평가하였다. Fig. 7은 C1N, C2N, C1E의 발파패턴에 대한 측정된 PPV와 자승근 환산거리 Ds의 관계를 보여준다. Ds를 이용한 발파진동 예측모델인 식 (1)을 적용하여 각 구간별 발파패턴별로 중위수준 50%(신뢰구간 50%)의 경험상수를 결정하면 다음 식과 같다.
측정값의 비교를 위해 식 (7), (8), (9)를 Fig. 7에 도시하였고 이들의 결정계수(R2)는 각각 0.82, 0.89, 0.88이다.
또한, Fig. 7은 무장약공의 수와 뇌관의 종류가 발파진동에 미치는 영향을 설명한다. Figs. 7(a)와 7(b)는 각각 무장약공 1개(C1N)와 2개(C2N)에 대한 결과로, 무장약공 2개의 경우가 더 작은 PPV의 지반진동과 경험상수(K, n)를 보인다. 한편, Figs. 7(a)와 7(c)는 각각 비전기식 뇌관(C1N)과 전자식 뇌관(C1E)을 적용한 결과를 비교한 것으로, 전자식 뇌관의 경우가 더 작은 PPV의 지반진동이 발생하였음을 확인할 수 있다. 이는 동일한 조건에서 전자식 뇌관이 비전기식 뇌관보다 진동 저감에 효과적일 수 있다는 점을 의미한다. Singh et al.(2015)는 노천발파 연구를 통해 전자식 뇌관 사용 시 비전기식 뇌관 대비 최대입자속도를 약 8-10% 감소시키는 효과가 있음을 보고하였으며, 본 연구의 발파진동과의 비교를 위해 그 결과를 Fig. 7(c)에 함께 나타내었다. 이와 같이 전자식 뇌관은 정밀한 기폭 제어가 가능하여 전파 간섭을 최소화하고 보강간섭을 억제함으로써 발파진동을 감소시킬 수 있으나 Blair and Armstrong(1999)는 전자식 뇌관의 사용이 항상 발파진동을 저감시키지 않으며 전자식 뇌관의 적용이 현장 여건에 따라 다름을 확인하였다.
Fig. 8은 현장에서 측정된 모든 발파진동 자료에 대한 PPV와 Ds의 관계를 나타낸다. 이를 식 (1)에 기반하여 추정한 신뢰수준 50%의 발파진동 예측식은 식 (10)과 같으며 결정계수(R2)는 0.885이다.
또한, 보수적 발파설계를 위해 신뢰수준을 95%로 향상시킨 발파진동 예측식(R2 = 0.885)은 다음과 같다.
또한, Fig. 8은 본 연구의 발파진동을 기존 문헌값과 비교한 것이다. 터키의 터널발파 사례(Ozer, 2008)는 본 연구의 발파진동과 비교적 잘 일치하는 반면에 이란(Nateghi, 2011)의 터널발파 사례와 국내 도로공사 노천발파 사례(MCT, 2006)와는 차이를 보이는 것을 확인할 수 있다. 이러한 결과는 발파설계 시 실제 터널발파를 통한 지반진동을 측정하고, 이를 기반으로 한 발파-진동의 관계가 결정되어야 한다는 것을 의미한다.
6. 발파진동 예측모델의 성능
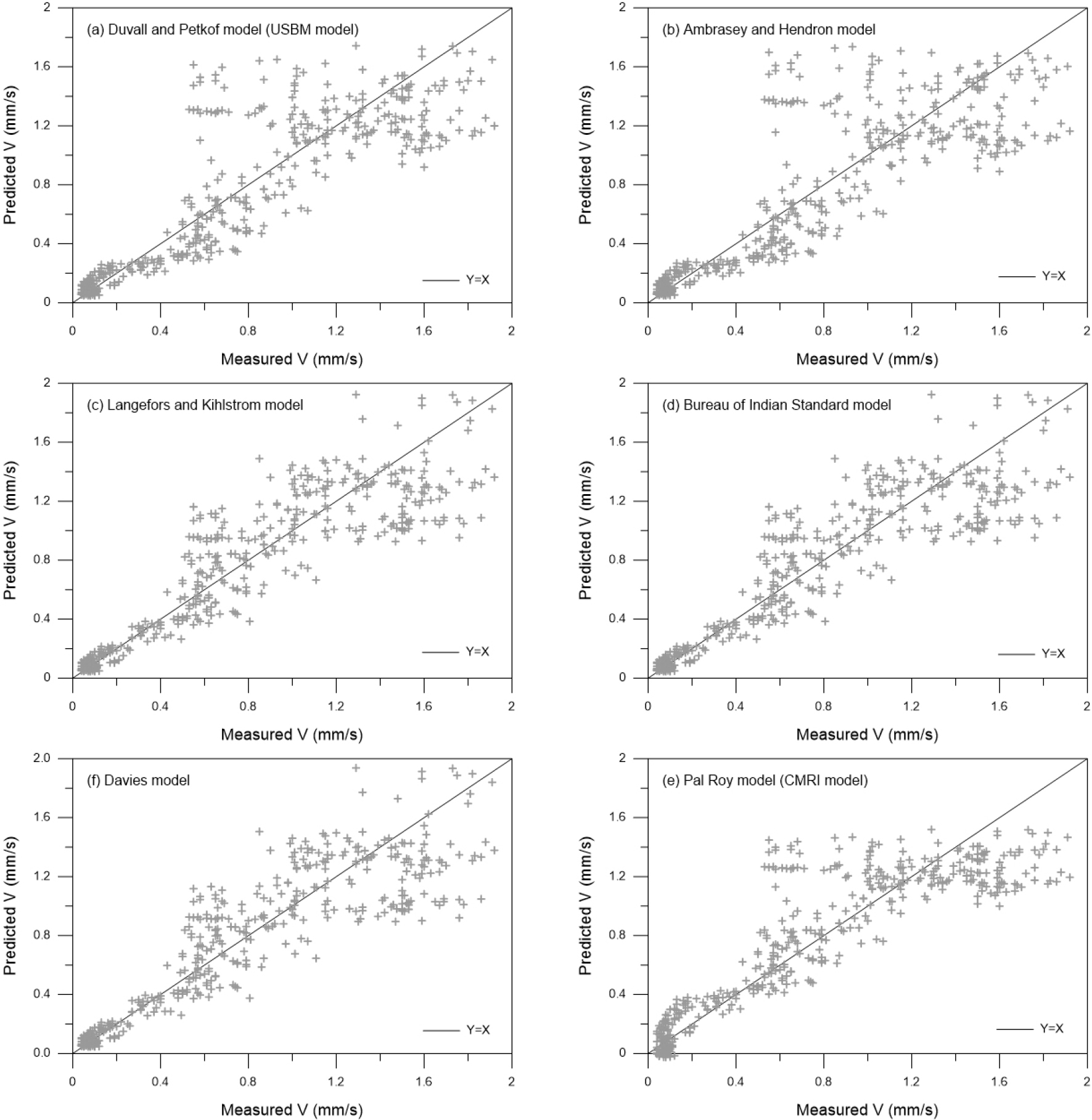
Table 4는 측정된 자료를 이용하여 평가한 발파진동 예측모델인 식 (1), (2), (3), (4), (5), (6)의 성능과 관련 경험상수(K, n, m)를 정리한 것으로 성능평가 지표로 결정계수(R2)와 평균제곱근오차(RMSE)를 사용하였다. R2값은 1에 가까울수록 모델의 예측 정확도가 높음을 의미하며, RMSE 값은 작을수록 예측 오차가 적어 모델의 성능이 우수함을 나타낸다. 분석 결과, 6개의 예측모델 모두 발파진동 자료를 양호하게 적합하는 것으로 평가되나 두 평가지표를 고려할 때 Pal Roy(1991) 예측모델인 식 (5)가 정확도 측면에서 가장 높은 성능을 보인다.
Table 4.
Summary of site constants and performance indices for prediction models
Fig. 9는 각 예측모델에 대한 발파진동 예측값과 실측값을 비교한 그림으로 실선은 예측값과 실측값이 일치함을 의미한다. 모든 모델이 실측값을 적절히 예측하는 것을 확인할 수 있다. Pal Roy(1991)의 예측모델은 최대입자속도 1-1.4mm/s 범위에서 다소 예측의 한계를 보이나 가장 1에 가까운 기울기(gradient)와 낮은 RMSE 값을 보여 본 연구의 발파진동을 전반적으로 가장 잘 예측하는 것으로 나타났다.
7. 발파진동의 제어
현행 발파 기술 수준에서는 발파진동을 완전히 제거할 수는 없으나, 구조물의 손상을 허용 가능한 범위 내로 제어하는 것이 가능하다. 국가건설기준센터의 터널굴착 기준(Korea Construction Standards Center, 2023)에서는 터널발파에 따른 구조물에 미치는 영향을 제어하기 위한 발파진동 허용기준을 Table 5와 같이 제시한다. 허용 발파진동은 구조물의 종류에 따라 5가지로 구분되나 전체 범위는 2-50 mm/s이다.
Table 5.
Allowable vibration velocity specified by Korean Construction Standards for tunnels
구조물별 허용기준을 신뢰수준 50% 및 95%에 해당하는 발파진동 식 (10)과 식 (11)에 적용하면 발파거리와 장약량의 관계를 얻을 수 있으며 이를 Figs. 10(a)와 10(b)에 각각 나타내었다. 이 도표를 활용하면 주어진 발파거리에서 최대로 허용할 수 있는 장약량을 설계하거나 주어진 장약량에 대해 허용 발파기준을 만족하는 최소한의 발파거리를 산정할 수 있음을 보여준다. 다만, 추후 양질의 발파자료를 확보하여 터널발파에 따른 발파거리와 장약량의 상관성을 개선할 필요가 있다.
8. 결 론
본 연구에서는 지하철도 건설에 따른 터널발파로부터 얻은 측정자료를 이용하여 도로하부 지반진동의 특성을 분석하였다. 또한, 원통형 무장약공의 수와 뇌관의 유형이 발파진동에 미치는 영향을 설명하고 기존 발파진동 예측모델의 성능을 평가하였다. 이로부터 얻은 결론은 다음과 같다.
두 개의 무장약공과 전자식 뇌관을 적용한 터널발파가 하나의 무장약공과 비전기식 뇌관의 터널발파보다 더 작은 PPV의 지반진동을 보였으며 이는 무장약공과 뇌관의 종류가 지반진동 제어에 효과적일 수 있음을 의미한다. 전체 발파진동 자료에 대한 신뢰수준 50%와 95%의 발파진동 예측식을 제시하였으며 이를 문헌값과 비교한 결과 터키의 터널발파 사례의 지반진동과 비교적 잘 일치하였다.
본 연구의 발파자료를 기존 발파진동 예측모델들에 적용하여 그 성능을 비교한 결과 Pal Roy 예측모델이 가장 높은 성능을 보였다. 또한, 구조물의 안정성을 확보하기 위한 발파진동 허용기준을 적용하여 발파거리-장약량의 관계를 제시하였다. 이러한 결과는 아스팔트포장의 유지관리에 유용한 자료로 활용될 수 있으나, 특정 지역의 제한된 발파자료를 이용하여 도출한 진동특성 결과로 향후 발파자료의 보완 및 인공지능 기술의 적용을 통한 터널발파의 지반특성 평가기술 개선이 요구된다.












