1. 서 론
변형강도(strength against deformation: SD)는 아스팔트 포장의 고온공용온도인 60°C에서 아스팔트 혼합물의 변형에 대한 저항성을 나타내는 강도이다. 이는 포장의 소성변형(plastic deformation, or rut)과 상관성이 높도록 개발되어 고온 내 변형(high-temperature deformation resistance) 특성의 척도로 국토교통부기준으로 적용되고 있다(KS에 도입이 추진 중)(김부일 등, 2006; Doh, 2007). 시멘트 콘크리트의 경우 압축강도(compressive strength: )가 대표적 강도치(strength value)인 점에 비해 아스팔트 콘크리트는 와 같이 통용되는 강도치가 없어왔다. 강도치는 아니지만 마샬안정도가 그와 유사한 의미로 적용되어 왔으나 안정도는 아스팔트 포장의 어떤 공용특성과도 상관성이 낮아 지금은 개발 국인 미국에서부터 사용치 않고 있다.
다행이 국내의 경우 이에 대비하여 개발된 SD가 국토부 배합설계 기준에 도입되어 적용성이 확대되고 있다. 이의 적용은 아스팔트 혼합물 포장 시 어떤 등급의 포장에 어떤 수준의 변형강도 치를 적용할지를 사전에 정할 수 있게 하여, 시멘트 콘크리트가 어떤 구조물에 어떤 수준의 가 사용되는지와 같은 의미로 아스팔트 혼합물을 강도 수준으로 분류할 수 있게 해준다.
따라서 SD의 측정은 Fig. 1과 같이 공시체를 세팅하고 그 상단 중앙에 Fig. 2의 하중봉으로 수직하중을 30 mm/min의 속도로 가하여 공시체가 파괴 될 때까지의 최대하중(P)과 수직변형(y)(Fig. 3)을 측정한다. 그리고 P와 그때 공시체 상단으로부터 눌려 들어간 깊이 y를 식에 대입하여 SD를 계산한다(Kim et al., 2004, 2011).
일반식 (1)은 응력(강도)계산 기본식인 를 로 전환하여 개발된 것이다. Fig. 4에서 보듯이 SD시험 후 공시체 상단은 y만큼 눌려 들어가며 우묵한 사발(bowl) 모양이 된다. 이 bowl 상단의 투영 원(지름 d) 면적 를 r, y의 함수 d=로 구한다. 그리고 원 면적이 A _{p} = pi `d ^{2} /4이므로 이를 의 분모로 넣고, D=40, r=10을 대입하여 정리한 것이 식 (2)이다. 그러므로 y가 깊이 눌려 들어간 공시체는 d가 커져 분모 가 커지므로 SD가 작아진다. 즉, 혼합물이 물러서 같은 하중에 깊이 들어가는 공시체는 변형강도가 낮고 소성변형에 취약하게 나타나는 것이다.
원지름 d는 Fig. 4의 하중봉이 y만큼 공시체에 눌려 들어간 경우 d=이고, 좌측하단의 가상의 삼각형에서 피타고라스 정리의 로부터 구하여 이를 대입·정리하면 d=이다. 이를 에 대입하면 이고 이를 에 대입하여 정리하면 일반식인 식 (1)이 얻어진다. 여기에 표준하중 봉 치수 D=40, r=10을 넣으면 표준식인 식 (2)가 된다.
여기서 = 변형강도(MPa), P=최대하중(N), = 최대하중에서의 수직변형(mm)이다.
변형강도의 측정은 정확한 치수의 하중봉의 사용과 정확한 재하속도 그리고 정확한 온도의 공시체를 사용하는 것이 중요하다. 변형강도 시험용 하중 봉 표준규격은 지름 D = 40 mm, 하단원형절삭반경 r = 10 mm, 재하속도는 30 mm/min, 공시체 온도는 60°C이다(박태원 등, 2008). 이중에서도 본 논고에서는 하중봉의 치수의 오차가 가져오는 강도 값의 차이에 따른 분석을 통하여 올바른 규격의 하중봉을 사용하는 것의 중요성을 보여주고자 한다.
2. D의 오차에 따른 SD 차이
하중봉 치수에는 두 가지 중요한 것이 있다. 즉, 하중봉의 지름(D)와 하단의 원형절삭 반경 r이다. 이중에서 우선 D의 오차에 관해서 알아보자. 어떤 공시체의 변형강도 측정에 표준규격의 하중봉이 사용되어 SD = 3.203(MPa)이 얻어진 경우를 가지고 비교하자. 만일 r = 10 mm는 제 규격이나 지름이 D = 40.2 mm로 0.5% 오차인 하중 봉으로 변형강도(SD)를 측정한 경우 어떤 오류(error)가 발생 하는지를 계산해보자.
이 경우 SD 계산에 봉 치수가 정확히 입력되는 일반식 을 사용해야 한다. 하지만 일반 실험실에서는 정밀 식을 모를 뿐만 아니라 봉에 오차도 제대로 인지하지 못한다. 따라서 치수에 오차가 있는 봉으로 시험을 하더라도 이를 모르고 표준식(식 (2))으로 SD를 계산한다면 SD = 3.203이 아닌 다른 값이 얻어질 것이다. 이 경우 어떤 값이 얻어질지를 정밀 식에 SD = 3.203, D = 40.2, r = 10 상수를 넣고 P와 y가 미지수이므로 이 중 우선 y = 3.18로 가정을 하고 P를 역산해보자.
∴ (N)이다.
즉, 40.2 mm 하중 봉을 사용하여 Kim Test를 수행하면 P = 3,052, y = 3.18이 얻어지며 이를 표준식에 넣어서 계산하면 이다. 이는 정상봉의 3.203보다 1.017배, (1.7%) 큰 값이 얻어진 것이다.
이번에는 이 식에서 SD = 3.203, D = 40.2, r = 10 상수 외에 P, y 미지수 중 이번엔 P = 3,000으로 가정하고 미지수 y를 구하여 SD를 구해보자.
, 이며 이를 y의 함수로 정리하면,
,의 y를 근의 공식으로 풀면 이다.
표준식에 y = 3.026과 P = 3000을 넣어 풀면 =3.258이다. 이도 정상봉의 3.203 MPa보다 1.017배로 1.7% 큰 값이므로 상기의 계산과 같은 오차 값이 얻어진다.
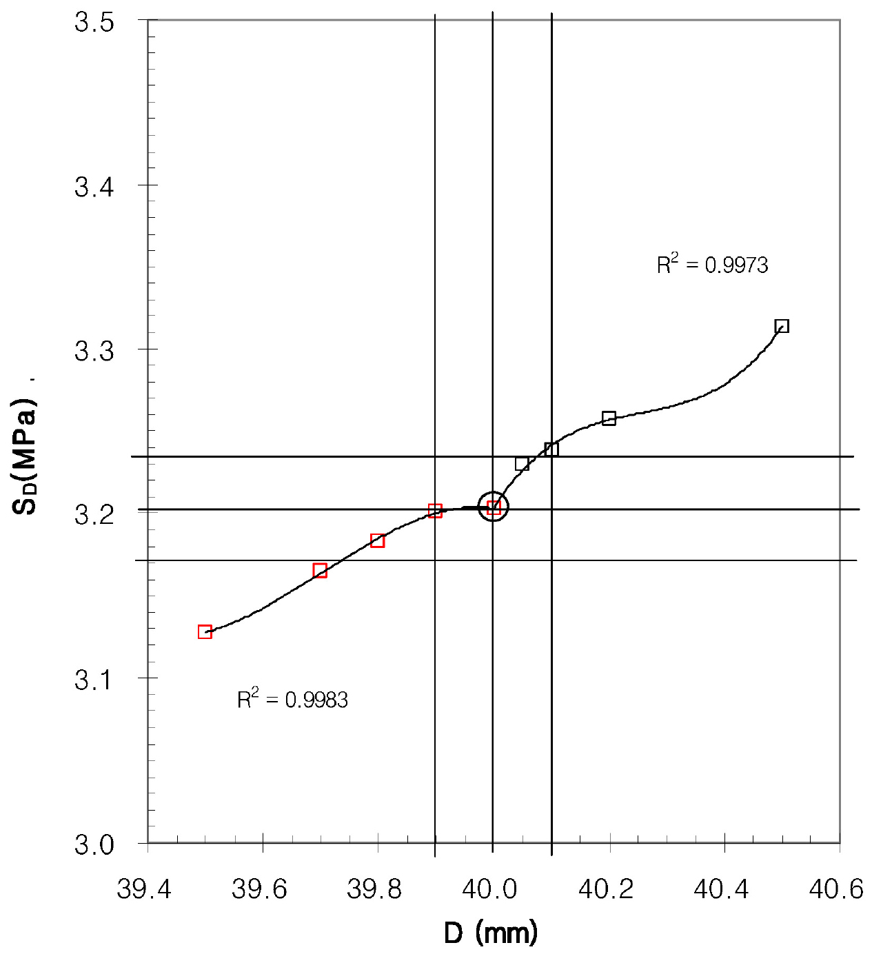
나머지 치수오차에 따른 오차들도 같은 방식으로 계산한 것을 Tables 1, 2에서 보여주고 이중 가운데 부분만을 이용하여 Fig. 5로 나타내었다. 이 그림을 보면 40 mm를 중심으로 위, 아래로 지름이 증가 또는 감소하면 SD는 전체적으로는 우 상향 경향을 보인다. 하중봉 지름(D)이 40 mm보다 크면 SD는 크게 나타나고, 반면에 D가 작으면 SD가 작게 나타나는 것으로 분석되었다. 로 0.1 mm 크게 되면 SD의 값이 1.12% 커지고 0.5 mm 큰 D = 40.5 mm의 SD는 3.46%, 41.0 mm의 SD는 무려 6.4% 크게 나타났다.
하지만 지름이 40 mm 이하로 작아지면 SD도 작게 나타나며 그 차이는 지름이 증가될 때와는 달리 초기 0.1 mm 이하의 적은 오차에서는 SD에 차이가 매우적다. 지름이 0.1 mm 작은 D = 39.9 mm면 SD는 0.05% 작게 나타난다. 하지만 지름이 더 줄어들면 SD 오차도 커져서 0.5 mm 작은 D = 39.5 mm에서는 SD가 2.35% 작아지는 것으로 나타나 SD에 오차가 큰 것으로 나타났다. 즉 전체적으로는 그림에서 보듯이 봉의 지름이 커지면 SD 값이 커지는 우 상향 경향을 보이므로 D가 큰 오차를 제어하는 것이 중요하다.
두 경우 중 D의 오차가 “+”인 경우 SD에 더 큰 영향을 미친다는 것을 알았다. 즉, 오차 +0.1 mm에서 SD가 1.12% 큰 반면에 -0.1 mm에서는 SD가 0.05% 작으므로 절대 값으로 같은 |0.1| mm 오차에서 SD에 미치는 영향은 1.12/0.05 = 22.4배 차이가 난다. 그러므로 D가 큰 쪽 오차의 경우를 기준으로 오차 허용범위를 규정해야 할 것이다. 그리고 얻어지는 SD 오차를 1% 미만으로 유지하기 위해서 Tables 1, 2를 참고할 경우 허용오차 +0.07 mm 미만이면 가능하나 이보다는 실용적인 수치인 +0.05 mm를 사용하는 것이 적합 할 것이다. 이 경우 SD 오차는 Tables 1, 2에서 보듯이 0.82%일 것이다. 그러므로 이를 기준으로 D의 규격은 40 ± 0.05 mm로 정하는 것이 타당할 것으로 판단된다. 이 오차 허용범위를 비율로 보면 ±0.05/40이므로 ±0.125%이다.
Table 1.
The SD errors by the loading head with different D, computed using standard equation, compared with SD = 3.023 MPa obtained using standard loading head (D = 10 mm, r = 10 mm) (y = 3.18 mm fixed)
Table 2.
The SD errors by the loading head with different D, computed using standard equation, compared with SD = 3.023 MPa obtained using standard loading head (D = 10 mm, r = 10 mm) (P = 3,000 N fixed)
3. r의 오차에 따른 SD 차이
일반적으로 지름은 40 mm로 크고 단순가공이므로 D보다는 r의 오차가 제조상 많이 발생될 수 있다. 만일 r = 10 mm에 -5% 오차가 생겨 r = 9.5 mm인 하중 봉으로 시험할 경우 얼마나 SD error가 발생 할 지를 계산해보자. r = 9.5 mm 하중 봉이라도 같은 공시체라면 상기와 같은 응력 3.203 MPa에서 파괴가 일어나므로 SD = 3.203 MPa이 얻어지는 것이 정상일 것이다. 이 경우 SD 계산에 봉 치수를 알고 이를 정확히 입력하는 일반식(식 (1))을 사용해야 한다. 하지만 일반 실험실에서는 일반식을 모를 뿐만 아니라 봉의 치수도 제대로 인지하지 못한다. 따라서 치수에 오차가 있는 봉으로 시험을 하더라도 이를 모르고 표준식(식 (2))으로 SD를 계산한다면 SD = 3.203이 아닌 다른 값이 얻어질 것이다. 이 경우 어떤 값이 얻어질지 정밀 식에 SD = 3.203, D = 40, r = 9.5 r = 10 상수를 넣고 P와 y 미지수 중에서 우선 y = 3.18로 가정을 하고 P를 구해보자.
∴ (N)이다.
즉, r = 9.5 mm 하중 봉을 사용하여 Kim Test를 수행하면 P = 3,115, y = 3.18이 얻어지며, 이를 표준식에 넣어서 계산하면 이며 이는 정상봉의 3.203 MPa보다 1.037배이며 3.7% 큰 값이 얻어진다.
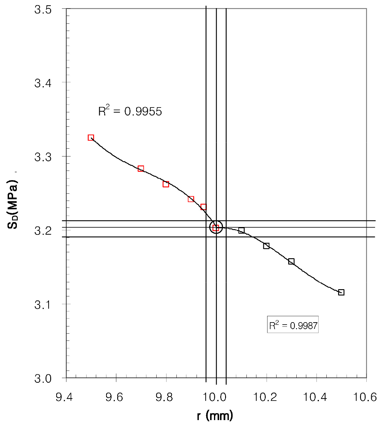
나머지 오차도 같은 방식으로 계산한 것을 Tables 3, 4에서 보여주고 이를 Fig. 6으로 나타내었다. 이 그림을 보면 10 mm를 중심으로 위, 아래로 증가 또는 감소하며 전체적으로는 우 하향경향을 보인다. 그러므로 표준규격 하중 봉 하단 원형절삭 반경()이 10 mm보다 작으면 SD는 크게 나타나고, 반면에 r이 크면 SD가 적게 나타나는 것으로 분석되었다. 로 0.1 mm 작게 되면 SD의 값이 1.2% 커지고 0.05 mm 작은 r = 9.95 mm의 SD는 0.86% 크게 나타나는 문제가 있다.
하지만 지름이 10 mm 이상으로 커지면 SD도 작게 나타나며 그 차이는 지름이 증가될 때와는 달리 초기 0.1mm이하의 적은 오차에서는 SD에 차이가 적다. 지름이 0.1 mm 큰 r = 10.1 mm면 SD는 0.12% 작게 나타난다. 하지만 지름이 더 줄어들면 SD 오차가 더 커지는 것으로 나타났다. 즉 전체적으로 보면 그림에서 보듯이 봉의 지름이 작으면서 SD 값이 크게 나타나는 경향을 보임을 알 수 있다.
두 경우 중 r이 작을 경우 오차가 더 큰 영향을 미친다. 오차 -0.1 mm에서 SD가 1.2% 큰 반면에 +0.1 mm에서는 SD가 0.12% 작아지므로 절대 값으로 같은 0.1 mm 오차에서 SD에 미치는 영향은 10배 차이가 난다. 그러므로 r이 작아지는 오차 경우를 기준으로 오차 허용범위를 정해야 할 것이다. 그리고 SD 오차를 1% 미만으로 유지하기 위해 허용오차를 -0.05 mm까지 허용한다면 SD 오류는 0.86%, -0.030 mm는 0.5%이내의 오류일 것이다. 그러므로 이를 기준으로 r의 오차범위는 10 ± 0.03 mm로 정하는 것이 타당할 것으로 판단된다. 이 오차 허용범위를 비율로 보면 ± 0.03/10이므로 ±0.3%이다.
그러므로 하중봉 지름 D의 경우 허용오차 범위는 D = 40 ± 0.05 mm, 하단 절삭반경 r의 경우 허용오차 범위는 r = 10 ± 0.03 mm 이하로 하는 것이 타당 할 것이다.








