1. 서 론
2. 이론적 배경
2.1 사면 안정해석
2.2 eXtreme Gradient Boosting (XGBoost)
2.3 Bayesian Optimization and HyperBand (BOHB)
3. 수치해석모델
4. XGBoost 모델
4.1 모델 정립
4.2 모델 성능
4.3 변수 기여도
5. 결과 및 토의
5.1 수치해석 분석
5.2 XGBoost 모델 분석
6. 결 론
1. 서 론
사면안정 문제는 지반공학에 널리 다루어지는 경계치 문제로 흙의 평형, 적합 및 구성관계로부터 유도된 미분방정식과 주어진 경계조건을 이용하여 사면의 안전율 또는 안정수를 산정한다. 이러한 해석에서 사면안정은 그 기하적 형태, 재료적 특성 및 물리력에 의해 의존하며, 물리력은 사면에 작용하는 하중, 토체의 자중 그리고 사면 내 간극수압을 포함한다. 이 중 간극수압은 사면의 전단강도를 감소시키는 원인으로, 강우로 인한 침투 및 환경변화에 따른 지하수위 변동은 간극수압의 변화로 사면의 안정에 영향을 미친다.
기존연구에서 사면의 안정해석 시 지하수의 간극수압은 다양한 형태의 물리력으로 고려되었다. Miller and Hamilton(1989)는 사면 내 간극수압을 내력(internal force)으로 간주하여 지반의 강체회전과 전단변형을 고려하는 사면안정해석을 수행하였다. 이와 달리 Michalowski(1995)는 간극수압을 외력(external force)으로 간주하고, 침투와 부력을 통한 에너지평형의 상한계해석을 통해 사면의 안정성을 평가하였다. 이러한 간극수압의 외력 개념을 적용하여 Kim et al.(1999)와 Chen et al.(2004)는 사면안정에 대한 유한요소한계해석을 수행하였다. Xu and Yang(2018)은 상한계해석을 이용하여 뷸균질 이방성 사면의 안정에 대한 간극수압 효과를 분석하였다. Li et al.(2021)은 무작위장 이론으로 구현되는 지하수위에 따른 사면의 추계적 안정성을 평가하였다. Huang et al.(2022)는 다양한 깊이별 간극수압 분포를 갖는 사면에 대한 상한계해석의 안전율을 비교하였다. Liu et al.(2025)는 상한계해석을 이용하여 불규칙한 지하수위를 갖는 굴곡사면의 안전율을 제시하였다. 이상과 같이 지하수를 고려한 사면안정에 관한 다양한 연구가 수행되었으나 이들의 대부분은 해석모델 상의 간극수압의 구현과 그의 검증에 초점을 두었으며 지하수위에 따른 사면의 안전율의 변화 및 예측에 관한 체계적인 연구는 제한적이다.
최근 지반공학 문제의 예측모델 개발에 있어 머신러닝 기법 중 하나인 eXtreme Gradient Boosting(XGBoost)가 널리 적용되고 있다. 이는 개별 트리를 단계적으로 학습하여 이전 단계의 오차를 보완하는 부스팅(boosting) 구조를 가지고, 약한 학습기(learner)를 결합하여 높은 예측 성능과 안정적인 학습이 가능하다. 또한 대규모 데이터에 대한 변수 간 비선형 관계 분석이 뛰어나 다양한 변수의 상호작용을 효과적으로 처리한다. XGBoost를 적용한 사면안정 연구사례로, Wang et al.(2020)은 토양 물성의 공간적 변동성을 고려하여 XGBoost 기반의 효율적인 신뢰성 해석 기법을 개발하고, 이를 통해 흙댐 사면의 파괴확률을 평가하였다. Gu et al.(2023)은 강우 침투 조건에서 토양 물성의 공간적 변동성과 강우 강도 및 패턴을 고려한 XGBoost 기반의 사면파괴의 확률론적 해석방법을 제안하였다. Zhang et al.(2023)은 저수지 수위 변동과 강우 영향을 받는 사면의 시간의존적 안정성을 효율적으로 평가하기 위해 XGBoost와 LightGBM을 결합한 기계학습 기반 신뢰성 해석을 수행하였다.
본 연구는 지하수위를 갖는 도로사면의 안정성을 다룬다. 대상문제를 Dupuit 이론의 자유지하수가 존재하는 조립토 사면으로 정의하고 강도감소법을 적용한 수치해석을 통해 사면의 안정계수와 안전율을 산정한다. 해석결과로 사면 내 지하수위, 사면의 경사각, 강도정수의 영향을 고려한 안정계수와 안전율을 제시하고 이를 평가할 수 있는 XGBoost 기반의 예측 회귀 모델을 제안한다. 여기서, 예측 능력의 향상을 위해 하이퍼파라미터의 조합을 정확하고 빠르게 탐색하는 최적화기법인 Bayesian Optimization and HyperBand(BOHB)를 적용한다.
2. 이론적 배경
2.1 사면 안정해석
Taylor(1937)은 c-φ지반의 균질한 사면에 대해 식 (1)와 식 (2)로 정의되는 안정계수(stability factor) NF와 무차원변수 λcφ의 관계를 나타내는 안정도표를 제안하였다.
여기서, γ는 흙의 단위중량, c는 흙의 점착력, φ는 흙의 내부마찰각, H는 사면의 높이, F는 안전율이다. 안정계수 NF는 사면이 자중에 의해 파괴되지 않기 위하여 발휘할 수 있는 내재적 전단저항력을 나타내는 지표로 안정계수가 클수록 사면은 더 안정하다. 지하수를 고려하는 경우, 식 (2)는 다음과 같이 수정될 수 있다(Kim et al., 1999).
여기서, γw는 물의 단위중량, Hw는 사면의 선단에서 지하수위까지의 높이이다. 식 (1)과 식 (3)은 사면 파괴시의 유발점착력 cm와 유발내부마찰각 φm의 함수로 나타낼 수 있다(Michalowski, 2002).
한편, 사면의 안전율은 수치해석법에서 강도감소법(strength reduction method)을 적용하여 산정할 수 있다. 이는 토체의 강도를 점진적으로 감소시키면서 사면의 파괴상태에 도달할 때의 감소계수를 찾는 방법으로, 식 (6)와 식 (7)과 같이 흙의 전단강도 정수인 점착력과 내부마찰각을 각각 일정 비율로 감소시켜 해석이 수렴하지 않거나 과도한 변형이 발생하는 시점의 안전율을 결정한다. 강도감소법은 사면의 파괴면을 미리 가정할 필요가 없고 지하수를 포함한 복잡한 사면을 고려할 수 있다(Dawson et al., 1999).
여기서, cr과 φr은 각각 감소계수 R로 감소된 흙의 점착력과 내부마찰각이다.
2.2 eXtreme Gradient Boosting (XGBoost)
XGBoost는 단일나무를 결합한 앙상블기법으로 부스팅 구조를 갖는 알고리즘이다(Chen and Guestrin, 2016). 이는 개별 나무를 각각 학습시키는 배깅(bagging) 구조와 달리 이전 단계의 오차를 다음 학습에 반영한다. Fig. 1은 XGBoost의 의사결정나무 구조를 나타낸 것으로, 각 나무에서의 예측값 과 실제값 의 손실 ε에 정규화항 Ω을 결합하여 목적함수 ζ가 최소가 되도록 학습한다. 이를 수학적으로 정식화하면 식 (8)과 식 (9)과 같다.
여기서, i는 표본번호, t는 나무번호, η는 학습율이다. 는 t번째 나무까지 누적된 예측값이며, ft는 t번째 나무의 예측함수이다.
여기서, T는 나뭇잎의 개수, wj는 j번째 나뭇잎의 출력 가중치, γ, λ, α는 정규화계수이다.
전체 나무까지 누적된 예측함수 ηft와 초기예측값 을 통해 최종예측값 이 도출되며 이는 다음 식과 같다.
은 변수 간 상호작용과 비선형성을 효과적으로 반영할 수 있어 단일나무 모델보다 예측 성능이 우수하다. 그러나 XGBoost는 구조가 복잡하고 기계학습 모델이 학습되기 전 사용자가 설정하는 값인 하이퍼파라미터(HyperParameter, HP)의 개수가 많아 이를 적절하게 최적화하는 과정이 쉽지 않다. 본 논문에서는 HP 최적화 기법 중 하나인BOHB을 XGBoost와 결합하여 모델의 예측성능과 속도를 향상하였다.
2.3 Bayesian Optimization and HyperBand (BOHB)
머신러닝 모델은 알고리즘 구조와 학습 과정을 제어하는 HP에 의해 예측 성능이 크게 좌우된다. 부적절한 HP의 설정은 과대적합(overfitting)이나 과소적합(underfitting)이 발생할 수 있다. HP 를 정밀하게 탐색하면 과도한 계산 자원과 시간이 소요되고, 반대로 탐색을 단순화하면 예측 성능이 저하될 수 있다. 따라서, 제한된 자원과 시간 내에서 효율적이고 신뢰성 있는 탐색 전략이 요구된다. BOHB는 베이지안 최적화(Bayesian optimization, BO)의 탐색효율성과 하이퍼밴드(Hyperband, HB)의 자원효율성을 결합한 최신의 HP 최적화기법이다(Falkner et al., 2018). BO는 확률론적 모형을 기반으로 높은 정확도의 최적해를 탐색할 수 있다는 장점이 있으나 계산 과정이 복잡하고 많은 시간이 소요된다. 반면, HB는 조기종료를 활용하여 탐색 속도를 높일 수 있으나 탐색 결과의 신뢰성은 상대적으로 낮은 경향을 보인다. 따라서, BOHB는 BO와 HB이 각각 갖는 이론적 한계를 극복하는 방법으로 XGBoost의 HP를 최적화한다.
3. 수치해석모델
Fig. 2는 본 연구의 대상 사면의 형상과 변수를 나타낸다. Fig. 2(a)에서 보듯이 사면은 경사각 β, 높이 H을 가지며 사면의 선단에서 단단한 지층까지의 거리는 D이다. 사면의 지하수위 HD는 Dupuit의 자유지하수 이론을 적용하여 사면의 선단에서 시작하여 비선형으로 증가하며 일정한 높이에 위치한다(Mishra and Kuhlman, 2013).
여기서, x는 사면 선단에서 수평방향으로 떨어진 거리, H0와 Hw는 지하수의 초기와 말기 위치, L은 지하수위의 폭이다. 해석에서 사면의 기하변수는 D/H와 Hw/H로 무차원화한다.
본 연구에서는 Fig. 2로 정의된 사면에 대해 Optum G2(Krabbenhoft et al., 2016)를 이용한 유한요소한계해석을 수행하였다. 이는 강도감소법을 기반으로 상한해석(upper bound)과 하한해석(lower bound)을 통해 극한 상태에 도달하는 시점의 사면 안전율을 계산한다. 지반모델은 Mohr-Coulomb파괴기준을 적용하였고, 지반영역은 사면의 선단과 상단에서 모델링 영역과 충분한 거리를 두어 사면파괴의 영향이 미치지 않도록 설정하였다. 경계조건은 사면 상부를 자유표면으로 두고, 좌-우 경계를 롤러 지지조건, 하부 경계를 힌지 지지조건으로 설정하였다. 해석결과로 안전율의 상-하한계 값을 산출하였고, 특별한 언급이 없으면 두 값의 평균으로 나타내었다. Table 1는 해석에 적용한 변수들의 수치값을 정리한 것으로 Hw/H는 4개의 값, 𝑐는 7개의 값, 나머지(D/H, β, φ)는 3개의 값을 고려하였다(Kim et al., 1999).
4. XGBoost 모델
4.1 모델 정립
수치해석을 통해 얻은 안전율 자료는 모델의 학습과 성능 검증을 위해 구분하였다. 전체자료 중 529개를 학습에, 227개를 검증에 이용하였다. 학습의 경우 자료활용 효율을 향상시키기 위해 K겹 교차검증(K-fold cross validation)을 적용하였다. 이는 학습용 데이터를 동일한 크기의 K개 겹으로 분할하고, 하나의 겹을 검증자료로 한 번씩 사용하는 반복학습을 수행하여 학습모델을 생성한다(Fig. 3). 학습단계에서 모든 자료는 한번은 학습에, 한번은 검증에 사용되어 자료수가 적을 때 유용하고, K번의 검증결과를 거쳐 학습결과의 분산이 줄고 안정적이다(Arlot and Celisse, 2010).
XGBoost알고리즘을 적용하여 입력변수 β, D/H, Hw/H, c, φ에 대한 출력변수 F을 예측하는 머신러닝 모델을 생성하였다. 앞서 기술한 바와 같이, 예측모델의 성능은 HP의 설정에 의존하므로 이를 적절히 조정하여야 한다. 이러한 제어 변수들은 알고리즘 구조를 제어하는 요소와 학습 과정을 제어하는 요소로 구분된다. 알고리즘 구조와 관련된 변수로는 1) 나무구조를 제어하는 최대 나무 깊이(maximum tree depth), 2) 나무수(number of trees)가 있고, 학습 과정을 조정하는 변수로는 3) 단일나무의 입력 표본 비율을 조정하는 표본추출비(row subsample ratio), 4) 단일나무 학습에 사용되는 입력 변수의 개수를 조정하는 변수추출비(column subsample ratio), 5) 단일나무의 결과가 최종 예측값에 반영되는 비율을 제어하는 학습율(learning rate), 6) 모델의 복잡도를 조절하여 과적합을 방지하는 L1-L2 정규화계수(regularization)가 있다. 이러한 HP에 BOHB를 적용하였고, 직전단계 대비 성능이 개선되지 않은 경우 탐색을 중단하는 조기 종료하도록 프로그래밍하였다. 탐색 범위 내에서 100회의 반복탐색을 수행하여 최적의 HP 조합을 도출하였고 이를 Table 2에 정리하였다.
Table 2.
Summary of optimal values of hyperparameters in XGBoost model
4.2 모델 성능
XGBoost 예측모델에 적용한 성능평가 지표로 결정계수(coefficient of determination) R2, 평균제곱근오차(root mean square error) RMSE, 평균절대오차(mean absolute error) MAE를 적용하였다. R2는 모델이 데이터를 얼마나 잘 설명하는지를 나타내는 지표이고, RMSE와 MAE는 예측 오차의 크기를 나타내는 지표이다. 이들 성능지표의 산정식은 다음과 같다.
여기서, 는 실제값, 는 예측값, 는 실제값의 평균, n은 표본수이다. R2는 1에, RMSE와 MAE는 0에 근접할수록 모델의 예측이 실제값과 잘 일치한다.
4.3 변수 기여도
개발된 예측모델에 있어 변수의 기여도 분석을 통해 각각의 변수가 예측에 어느 정도의 기여했는가를 정량적으로 평가할 수 있다. 본 연구에서는 SHapley Additive exPlanations(SHAP)을 적용(Lundberg and Lee, 2017)하여 입력변수인 β, D/H, Hw/H, c, φ의 기여도를 분석하였다. 변수의 기여도 ψi는 다음 식과 같이 계산된다.
여기서, ψi는 변수 i의 기여도, N은 전체 변수집합, 는 변수 i를 제외한 부분집합, f는 모델의 예측함수이다. SHAP의 분석결과는 요약도표(summary plot)와 워터폴도표(waterfall plot)로 나타낸다. 전자는 전체 자료에 대한 변수들의 전반적인 경향을, 후자는 특정 표본의 예측과정의 단계를 시각적으로 설명한다.
5. 결과 및 토의
5.1 수치해석 분석
Fig. 4는 β=45°와 D/H=2인 사면의 λcφw에 따른 NF의 변화를 나타낸다. 여기서 NF는 세 변수 Hw/H, c, φ의 조합으로 산정된 상-하한계의 결과로 각각 84개이다. 그림에서 보듯이 NF는 λcφw가 커질수록 증가하고 상한계의 값이 하한계보다 약간 큰 것을 확인할 수 있다. 한편, 해석결과의 검증을 위해 함께 도시한 Kim et al.(1999)의 문헌 값은 본 연구의 해석결과와 비교적 잘 일치한다.
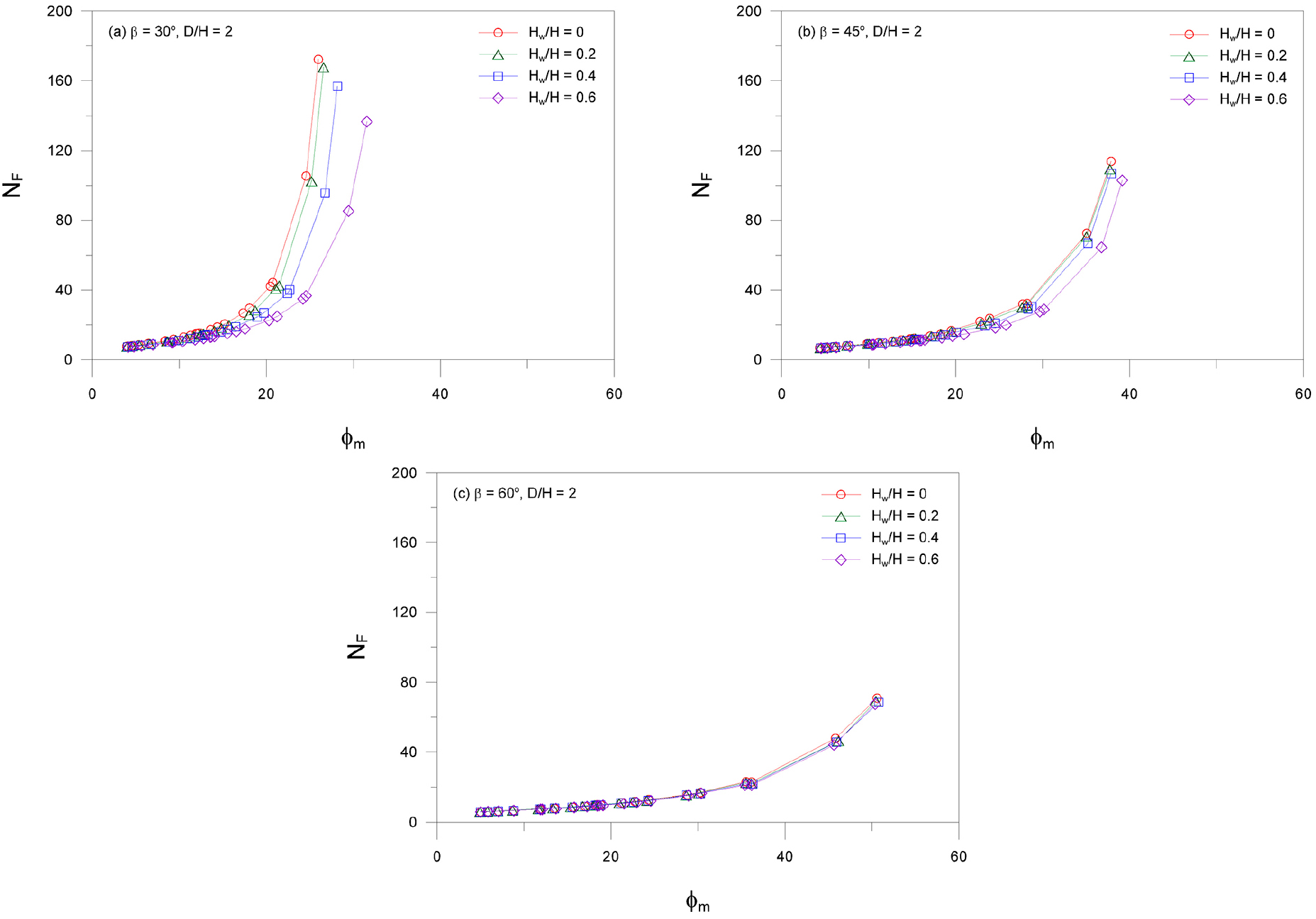
Fig. 5는 D/H=2인 사면의 φm와 NF의 관계에 대한 β와 Hw/H의 영향성을 설명한다. 여기서 NF는 변수β, Hw/H, c, φ의 조합으로 산정된 상-하한계의 평균값으로 총 252개이다. 그림에서 보듯이 NF는 φm이 커질수록 증가하고 그 증가율은 φm이 커질수록 급격히 증가한다. 또한, β가 커질수록 NF는 감소하는 반면 φm은 증가하는 것을 확인할 수 있다. 이는 사면의 경사가 증가할수록 사면의 안정성이 작아지고 파괴시 유발되는 내부마찰각은 커진다는 것을 의미한다. 한편, Hw/H가 커질수록 NF는 감소하고, 그 영향성은 β가 커질수록 감소하여 β가 한계경사각(β=60°)에 도달하면 존재하지 않는다. 이는 사면 내 지하수위가 높아질수록 사면의 안정성이 작아지나, 사면의 높이가 한계경사각 이상이 되면 지하수위는 사면안정에 영향을 미치지 못한다는 것을 의미한다.
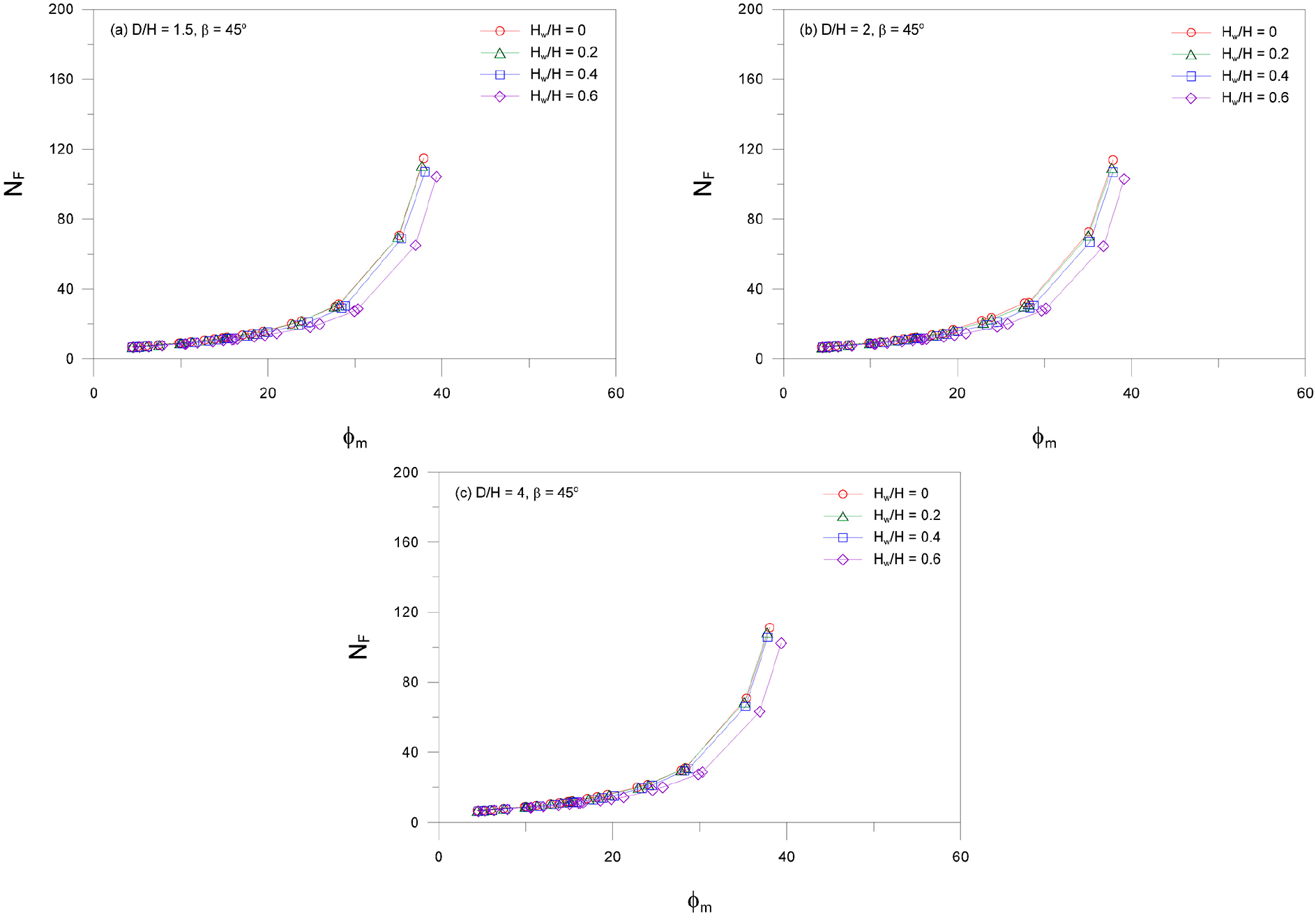
Fig. 6은 β=45°인 사면의 NF에 대한 D/H와 Hw/H의 영향성을 설명한다. 그림에서 보듯이 주어진 Hw/H에서 NF는 D/H의 변화에 따라 거의 변화하지 않는다. 이는 사면 선단 아래에 놓인 단단한 층이 사면파괴가 발생하는 상부 지층과 충분히 떨어져 그 영향성이 제한적이기 때문이다. 한편, 주어진 D/H에서 Hw/H가 0에서 0.4까지 증가할 때까지는 NF값의 변화가 없으나 그 이후에는 NF값이 약간 감소하는 것을 확인할 수 있다. 이는 주어진 조건에서 지하수위가 사면 높이의 절반 이상으로 상승하면 사면안정에 부정적 영향을 미친다는 것을 의미한다.
Fig. 7은 지하수위 Hw/H 에 따른 β=45°와 D/H=2인 사면의 파괴 메커니즘으로 전단소산(shear dissipation)에 대한 해석결과이다. 그림에서 보듯이 Hw/H와 상관없이 모든 사면은 활동면이 사면의 선단을 통과하는 사면선단파괴(toe failure)을 보인다. 또한, Hw/H가 증가할수록 활동면을 따라 두꺼운 층의 에너지 손실, 즉 전단소산이 발생하고 그 결과 사면의 안전율이 감소하는 것을 확인할 수 있다. 특히 Hw/H가 증가할수록 선단원(toe circle)이 사면 선단부에서 상단부까지 전단소산 영역이 확대되는 것을 볼 수 있다. 이와 같이 지하수위 상승은 간극수압 증가에 따른 유효응력 감소로 사면 전반의 전단강도를 저하시켜 광역적인 소성항복을 유발하며, 이에 따라 에너지 소산이 국부적으로 집중되지 않고 분산됨으로써 전단소산 영역을 광역적으로 확장시킨다.
본 연구에서는 사면의 β, D/H, Hw/H, c, φ에 따라 변화하는 안전율 F을 예측하는 XGBoost모델을 개발한다. 이를 위해 수치해석을 통해 모든 변수인 β, Hw/H, D/H, c의 조합에 대한 상-하한계해석의 평균인 756개의 안전율 F를 산정하였다. 전체 안전율의 통계치로서 최솟값과 최댓값은 각각 0.122, 2.336이고 평균은 0.941이다. 또한, 표준편차와 변동계수는 각각 0.479와 0.510이다. 평균 안전율은 1.0을 중심으로 분포하여 사면의 불안정 영역부터 안정 영역까지 폭넓게 포함하고 있고, 변수 조합에 따라 안전율의 변동성이 크게 나타나 다양한 사면 조건이 정량적으로 반영된 것을 알 수 있다.
5.2 XGBoost 모델 분석
Fig. 8은 XGBoost 모델로 얻은 학습 및 예측결과를 도시한다. Fig. 8(a)은 부스팅라운드(boosting round) 곡선으로 학습 과정에서 학습 및 검증 데이터가 부스팅 반복횟수에 따라 성능지표인 RMSE가 어떻게 수렴하는지를 보여준다. 그림에서 보듯이 나무수가 증가함에 따라 두 데이터의 RMSE는 초기에 급격히 감소하고 나무수가 300개 이후로는 거의 유사한 수치로 수렴한다. 이는 BOHB를 통한 최적 HP 조합으로 학습된 모델이 한계나무수에 도달하며 그 성능이 안정화된 것을 의미한다. Fig. 8(b)은 실제 안전율과 예측 안전율의 관계를 나타내며, 학습용 데이터와 테스트용 데이터를 각각 구분하여 표시하였다. 두 데이터 모두 R2가 0.998로 1:1선과 잘 일치한다. 또한 특정 영역에 집중되지 않고 전체 데이터 범위에서 일관된 예측 성능을 보여준다. Fig. 8(c)에서는 실제 안전율과 예측 안전율의 잔차분포를 나타낸다. 계산된 잔차는 0 부근에 집중된 좌-우 대칭적 분포를 보이며 폭이 크지 않다. 이로부터 예측 결과가 작은 오차 범위 내에서 안정적으로 재현된 것을 알 수 있다. 또한, 성능평가 지표인 RMSE와 MAE는 각각 0.021와 0.009로 큰 오차가 발생하지 않고 데이터 전반에서 균일한 성능을 보인다.
Fig. 9은 SHAP 분석을 통해 얻은 예측 모델의 변수별 기여도를 설명한다. Fig. 9(a)은 전체 자료에서 변수의 전반적인 경향을 보여주는 요약도표이다. 여기서 SHAP값이 증가할수록 예측 안전율이 증가하고, 특성 값이 붉어질수록 실제 변수의 값이 커지는 것을 의미한다. 그림에서 보듯이 c와 φ는 적용 값이 커질수록 SHAP 값이 증가하는 경향을 보였고, 분포의 폭이 넓게 나타났다. 반면, β와 Hw/H는 적용 변수의 값이 커질수록 SHAP 값이 감소하는 경향을 보였고, D/H는 SHAP값의 변화 폭이 매우 작게 나타났다. 이는 D/H가 본 연구의 범위 내에서 안전율 예측에 영향을 거의 미치지 못한다는 것을 의미한다. Fig. 9(b)은 β=30°, D/H=1.5, Hw/H=0.6, c=30kPa, φ=25°인 표본의 예측 과정을 보여주는 워터폴도표이다. 전체 안전율의 평균인 0.941에서 시작하여 변수별 기여가 순차적으로 더해져 최종 예측 안전율이 1.993에 도달한 것을 확인할 수 있다. c, φ, β는 각각 +0.55, +0.36, +0.27으로 안전율을 증가시키고, Hw/H는 -0.11로 안전율을 감소시킨다. 또한 D/H는 -0.01로 예측 기여도가 낮다.
6. 결 론
본 연구로부터 얻은 결론은 다음과 같다.
강도감소법을 적용한 유한요소한계해석을 통해 Dupuit 자유지하수를 갖는 사면에 대한 안전해석을 수행하였고 그 결과는 안정계수 NF와 안전율 F로 나타내었다. 본 연구의 수치해석 결과는 문헌값과 잘 일치하였다.
지하수위 Hw/H가 커질수록 NF는 감소하고, 그 영향성은 사면의 경사각 β가 커질수록 감소하여 β가 한계경사각(β=60°)에 도달하면 매우 제한적이다. 즉, 사면 내 지하수위가 높아질수록 사면의 안정성이 작아지나 사면의 높이가 한계경사각 이상이 되면 지하수위는 사면안정에 영향을 미치지 못한다. 본 연구에서 고려한 단단한 하부지층의 위치(D/H=1.5-4)은 사면파괴가 발생하는 상부 연약 지층과 충분히 떨어져 NF에 영향을 거의 미치지 않았다. 사면 내 지하수위가 높을수록 두꺼운 층의 전단 소산이 발생하고 활동파괴면이 사면의 상단까지 확대된다.
Hw/H, D/H, β와 더불어 c, φ의 조합에 대하여 756개의 안전율을 산정하였고 이를 이용하여 지하수를 갖는 사면의 안전율을 예측할 수 있는 데이터기반 모델(data-driven model)을 개발하였다. 이는 머신러닝 기법인 XGBoost와 하이퍼파라미터 최적화 기법인BOHB을 결합한 모델로 R2, RMSE, MAE 인 통계치를 적용하여 그 성능을 평가한 결과, 이 모델은 사면의 안전율을 정확하게 예측하였다.
SHAP 분석을 통해 예측모델 내 변수의 기여도를 분석하였다. β와 Hw/H는 작을수록, c와 φ는 클수록 사면의 안전율이 증가하였다. D/H는 본 연구의 적용 범위 내에서 안전율 예측에 영향을 거의 미치지 못하였다.
본 연구에서 제안한 XGBoost 모델은 자유지하수를 갖는 도로 인접사면의 안정성 평가에 활용될 수 있다. 이러한 머신러닝 기반 사면의 안전율 예측은 이론- 경험식과 달리 지하수위를 포함한 다양한 매개변수를 고려할 수 있으며 충분한 데이터가 확보된다면 안전율을 정확하고 신속하게 평가할 수 있다. 따라서, 많은 사면자료의 축적과 향상된 최적화기법의 적용을 통한 사면안정 평가기술의 개선이 요구된다.











