1. 서 론
2. 온도보정개념과 국외사례분석
2.1 온도보정개념
2.2 국외사례분석
3. 국내 적용을 위한 온도보정식 개발
3.1 국내 사계절 FWD 측정 데이터 분석
3.2 개발된 온도보정식과 기존식의 비교분석
4. 다른 국내 지역의 적용성 검토
5. 결 론
1. 서 론
근래 들어 이상기후의 변화가 크게 일어나면서 연도가 지날수록 표면온도와 대기온도가 점점 상승하고 있다. 이는 아스팔트 포장의 처짐값에 영향이 크게 미치게 되므로, 아스팔트 포장 평가시 처짐값의 온도보정을 반드시 수행하여야 한다. 국내에서는 FWD(Falling Weight Deflectometer)로 아스팔트 포장의 지지력을 평가하고자 처짐을 측정하여 분석하는데, 처짐은 아스팔트 포장 온도에 따라 변하게 된다. 이때 평가 시 온도보정을 하는 과정이 필요로 한다. 본 연구에서는 평가 시에 이용되는 온도보정식을 국외 문헌(Ilja et al., 2021)에서 제시한 방법을 토대로 국내에서 제한적으로 적용이 가능할 것으로 판단되는 국내 온도처짐보정식을 개발하였다. 기존 연구들에서의 연구 결과는 FWD(Falling Weight Deflectometer) 데이터에 하중보정과 온도보정 시 다른 계절의 경우 손상지수의 차이가 크게 발생하였으며, 일본(재)도로보전기술센터에서 사용하는 온도식은 국내 기후특성과 맞지 않음을 제시하였다(Choi et al., 2022b; Oh et al., 2022). 이에 본 연구에서는 국외에서 제시된 온도보정식의 적정성 평가와 국내 온도보정식 개발을 위해 공용성 변화가 없는 국내 기후조건의 폐도 구간과 신설 구간에서의 FWD 처짐값을 적용하여 분석하였다.
2. 온도보정개념과 국외사례분석
2.1 온도보정개념
FWD 데이터로 평가하는 방법으로는 두 가지의 온도보정 방법이 있다. 첫 번째는 처짐의 역해석탄성계수를 이용한 온도보정이다. 하지만 역해석탄성계수 산출하기 위해서는 탄성계수 역해석 프로그램을 통해 산출해야만 하지만 이는 밀입도 아스팔트포장에 국한되어 개발된 프로그램이므로 배수성아스팔트층의 탄성계수를 구하기 위해서는 새로운 프로그램을 개발해야 한다(Oh et al., 2022).
두 번째는 처짐보정계수를 이용하는 방법이며, 역해석 탄성계수 필요 없이 처짐보정계수로 바로 보정할 수 있으므로 본 연구에서는 두 번째 방법인 처짐보정계수를 개발하고자 국외 처짐보정계수 제안사례를 분석하였다(Ilja et al., 2021).
2.1.1 대표온도추정
먼저 아스팔트 포장 도로의 계절별 온도 폭은 크기 때문에 온도를 보정하여 포장도로를 평가할 때 같은 기준에서 비교할 수 있도록 대표온도를 참고하여 산출하여야 한다. 대표온도를 산출하는 방법은 포장 층의 두께, 전날의 평균온도, 시험 당일 도로의 표면온도, 시간계수를 활용하는 방법(United States Department of Transportation, 2000)을 참고하여 Fig. 1과 같이 엑셀프로그램을 작성하여 산정하였다.
2.1.2 FWD data 온도보정계수 추정
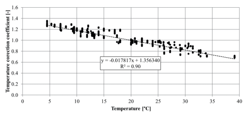
온도보정개념 중 두 번째 방법인 온도보정계수를 통한 FWD 데이터의 처짐값의 온도보정방법은 온도에 따른 처짐값 자체의 회귀 곡선을 통해 식 (1)을 사용하여 Fig. 2과 Fig. 3와 같이 온도 보정계수를 산정한 후, 처짐값 온도보정식으로부터 Fig. 4와 같이 온도보정처짐을 산정하는 것이다.
여기서, : 처짐에 따른 온도보정계수
: 회귀 곡선에서 측정된 20°C 온도에서의 처짐(µm)
: 회귀 곡선에서 측정된 온도 T에서의 처짐(µm)
2.2 국외사례분석
온도보정에 사용되는 국외 온도보정식으로 미국에서 사용중인 식을 고를 수 있다. 하지만 미국의 온도보정식에 경우 단위가 °F, inch 단위로 계산하기에 단위변환의 어려움과 미국의 지역에 맞춰 있는 회귀상수의 변수까지 국내에 적용하기 어려움이 있다(Choi et al., 2022a). 따라서 단위변환에 대한 어려움이 없고 지역에 한정된 회귀 상수가 들어가지 않는 온도보정식이 필요하였는데 앞서 말한 조건에 충족하는 온도보정식이 바로 체코의 Ilja et al.(2021)의 제안식이다. 이 방법에 따르면 체코의 도로포장 조건에 따라 FWD처짐 조사의 실험을 대표온도 0~35°C까지의 범위에서 처짐값의 온도보정계수를 제안하였다. 아스팔트 층의 대표온도는 2.1.1절과 같이 아스팔트층 두께를 고려한 방법을 사용하지 않고 고정된 위치인 포장 표면 아래의 40 mm 깊이의 평균온도로 간주하였다. 또한, 90~350 mm의 아스팔트 층 두께에 대해 대표온도의 기준 20°C, 측정의 데이터는 50 kN의 하중조건으로 식 (2)을 제안하였다. 그러나 Choi and Kim(1999)에 의하면, 아스 팔트층 두께에 따라 층 온도 프로파일이 변하므로 층두께를 고려한 대표온도 추정이 필요하다. 또한 국내의 경우 대표온도가 35°C 이상이 산정되므로 국내적용성을 검토하여야 한다.
여기서, : 20°C(µm)의 기준온도로 보정된 하중 축으로부터의 거리
i에서의 처짐
: 하중 축에서 i까지의 거리에서 온도 T에서 측정된 처짐
: 40 mm 깊이의 아스팔트층의 평균 온도(°C)
3. 국내 적용을 위한 온도보정식 개발
3.1 국내 사계절 FWD 측정 데이터 분석
본 연구에서는 공용성변화가 없는 국내 4계절의 FWD 데이터를 활용하여야 하기 때문에, Choi(1998)의 폐도 고속도로 현장 FWD실험의 처짐값을 바탕으로 국내에서 적용할 온도보정식을 개발하였다. 98년도의 폐도구간 지역의 온도와 최근의 온도를 기상청포털을 통해 조사한 결과, 98년도와 22년도의 구간의 경우 최고대기온도 32.7°C, 34.7°C와 최저대기온도 -17.1°C, -15.3°C로임을 알 수 있다. 이와 같이 지구온난화로 온도가 올라가는 경향이나 대표온도 추정오차 2°C 이내이며, 폐도구간의 평균기온이 12.5°C, 12.4°C로서 온도에 따른 처짐온도보정계수 개발이 가능하다고 판단하였다. 폐도구간의 아스팔트층의 두께는 300 mm이며, 본 연구에서는 대표온도 범위를 Choi et al.(2022a)에서 제안한 ‘대표온도추정방법’으로 산정한 결과, 국외사례보다 넓은 0~35°C가 아닌 0~42°C까지의 범위로 산정되었다. 대표온도 산정 위치는 미국 아스팔트학회 AI에서 제안한 아스팔트 두께의 1/3지점을 대표온도 깊이로, 측정데이터는 하중 40 kN으로 정규화 하였다.
대표온도 20°C를 기준으로 온도보정처짐계수 개발을 위해 국외식과 비교를 위한 동일온도조건과 국내 온도범위를 고려한 두 가지 조건으로 Fig. 5와 같이 FWD 처짐 경향을 분석하였다. 처짐분석결과, D0~D600 센서 처짐은 온도영향을 받고 있으며, D900~D1800번 센서처짐은 온도영향이 거의 없음을 알 수 있다. 따라서 D0~D600 센서 처짐의 특성으로부터 20°C 변환을 위한 온도보정계수를 Fig. 6과 같이 회귀분석하였고, 이를 통해 온도보정처짐을 위한 온도보정계수를 식 (3)와 같이 산정하였다. 제안된 온도보정계수의 기울기를 통한 온도에 따른 FWD 처짐값의 기준온도 보정처짐식을 식 (4)과 같이 제안하였다. 그러나 D0와 다르게 D300, D900 센서값은 온도 분류하여 제안한 식들과 전체의 온도범위로부터 제안한 식의 차이가 Table 1과 같이 최대 상대오차 3.25% 이내이므로 적용편의성을 위해 전체 온도범위의 식으로 제안하였다.
여기서, : 하중 축 i에서부터의 20°C의 기준온도에 대한 처짐보정계수
: 대표온도 (°C)
여기서, : 하중 축 i에서부터의 20°C의 기준온도로 보정된 처짐값(µm)
: 대표온도 (°C)
Table 1.
Comparative analysis of the formula for temperature division and the formula for the entire temperature range
| D300 | D600 | Relative error (%) | ||
| formula for the entire temperature range | 80.57 | 64.42 | ||
| formula for the 0~35°C | 81.49 | 64.06 | 1.15 | 0.56 |
| formula for the 30~42°C | 78.70 | 66.51 | 2.32 | 3.25 |
3.2 개발된 온도보정식과 기존식의 비교분석
Ilja et al.(2021)에 따르면 제안한 0~35°C 식과 본 연구에서 제안한 0~35°C, 30~42°C의 온도범위로 공용성변화가 없는 국내 폐도구간에서 온도보정을 실시하였다. 공용성 변화가 없는 ○○폐도 구간에 온도보정을 검증할 시에 대표온도 20°C의 원데이터의 처짐값이 필요하다. 이를 위해 폐도구간의 1/3지점인 100 mm 지점의 대표온도와 Ilja et al.(2021)이 제안하는 40 mm지점 중 20 ± 2°C 범위 내 원데이터 원처짐값을 Table 2와 같이 평균한 결과, 센서오차를 고려하여 106 µm을 20°C의 처짐값으로 설정하였다.
Table 2.
Raw data deflection value within the range of 20 ± 2°C representative temperature of the closed section
공용성 변화가 없는 ○○폐도구간의 4계절 FWD 처짐값을 대표온도 20°C 기준온도로 전환하여 Table 3와 Table 4에 나타내었다. Table 3와 Table 4을 살펴보면, Ilja et al.(2021)의 40 mm의 대표온도를 통해 처짐 보정하면 보정처짐값이 작아지게 되며 도로평가 시 도로포장을 과소평가하게 될 수 있음을 알 수 있다. 또한 본 연구에서 제안한 식 (4)에서 온도 구분하여 제시하는 온도범위 중 겹치는 부분인 30~35°C 범위는 Table 5과 같이 최대 상대오차가 3.7%로서, 중복된 온도범위에서 사용가능함을 알 수 있다.
Table 3.
Temperature-corrected deflection result of closed section at reference temperature 20°C using formula for the 0~35°C
| (a) February~April | ||||||||||||||
|
February 13 17:00 |
February 13 17:30 |
March 25 14:00 |
March 25 16:00 |
April 30 11:00 |
April 30 17:00 |
April 30 16:00 | ||||||||
| Row data (µm) | 70 | 72 | 86 | 82 | 111 | 132 | 143 | |||||||
| Surface (°C) | 5.9 | 5.1 | 22.0 | 12.4 | 38.0 | 34.4 | 38.7 | |||||||
|
representative temperature (°C) (40 mm) | 4.8 | 4.3 | 15.3 | 11.2 | 30.6 | 31.5 | 34.3 | |||||||
|
representative temperature (°C)(100mm) | 3.0 | 2.8 | 12.3 | 9.9 | 27.1 | 29.7 | 31.6 | |||||||
| Ilja et al.(2021) 40 mm (µm) | 89 | 92 | 93 | 95 | 90 | 105 | 107 | |||||||
| Ilja et al.(2021) 100 mm (µm) | 91 | 94 | 98 | 97 | 97 | 109 | 114 | |||||||
|
Proposed eq 100 mm (0~35°C)(µm) | 94 | 97 | 100 | 99 | 95 | 103 | 106 | |||||||
| (b) October | ||||||||||||||
|
October 9 11:00 |
October 9 12:00 |
October 9 13:30 |
October 9 14:30 |
October 9 15:30 |
October 9 16:30 |
October 30 11:30 | ||||||||
| Row data (µm) | 105 | 106 | 105 | 108 | 107 | 109 | 94 | |||||||
| Surface (°C) | 26.0 | 25.3 | 30.0 | 31.0 | 28.5 | 25.3 | 10.6 | |||||||
|
representative temperature (°C)(40 mm) | 18.2 | 21.3 | 25.0 | 26.3 | 25.1 | 23.1 | 9.3 | |||||||
|
representative temperature (°C)(100 mm) | 16.2 | 18.7 | 21.9 | 23.3 | 22.7 | 21.5 | 8.4 | |||||||
| Ilja et al.(2021) 40 mm (µm) | 108 | 104 | 96 | 96 | 97 | 104 | 112 | |||||||
| Ilja et al.(2021) 100 mm (µm) | 112 | 109 | 102 | 102 | 102 | 107 | 114 | |||||||
|
Proposed eq 100 mm (0~35°C)(µm) | 113 | 109 | 101 | 101 | 101 | 106 | 117 | |||||||
| (c) October~February | ||||||||||||||
|
October 30 12:30 |
October 30 13:30 |
October 30 14:30 |
October 30 15:30 |
October 30 16:00 |
November 27 14:30 |
November 27 15:30 | ||||||||
| Row data (µm) | 93 | 94 | 94 | 92 | 94 | 92 | 90 | |||||||
| Surface (°C) | 11.8 | 12.9 | 11.0 | 12.4 | 11.6 | 11.6 | 5.5 | |||||||
|
representative temperature (°C)(40 mm) | 10.4 | 10.9 | 10.9 | 11.3 | 11.0 | 11.5 | 6.2 | |||||||
|
representative temperature (°C)(100 mm) | 9.4 | 10.0 | 10.3 | 10.9 | 10.9 | 10.2 | 6.5 | |||||||
| Ilja et al.(2021) 40 mm (µm) | 109 | 109 | 109 | 107 | 109 | 105 | 112 | |||||||
| Ilja et al.(2021) 100 mm (µm) | 111 | 111 | 110 | 107 | 109 | 108 | 112 | |||||||
|
Proposed eq 100 mm (0~35°C)(µm) | 114 | 113 | 113 | 109 | 112 | 110 | 115 | |||||||
Table 4.
Temperature-corrected deflection result of closed section at reference temperature 20°C using formula for the 30~42°C
|
April 30 16:00 |
April 30 17:00 |
June 24 12:00 |
June 24 16:00 |
June 24 16:30 |
September 5 11:00 |
September 5 11:30 |
September 5 14:00 | |
| Row data (µm) | 105 | 109 | 132 | 201 | 143 | 107 | 108 | 111 |
| Surface (°C) | 30.0 | 25.3 | 34.4 | 48.1 | 38.7 | 28.5 | 31.0 | 38.0 |
|
representative temperature (°C)(40 mm) | 25.0 | 23.1 | 31.5 | 43.2 | 34.3 | 25.1 | 26.3 | 30.6 |
|
representative temperature (°C)(100 mm) | 21.9 | 21.5 | 29.7 | 40.8 | 31.6 | 22.7 | 23.3 | 27.1 |
| Ilja et al.(2021) 40 mm (µm) | 96 | 104 | 105 | 118 | 107 | 97 | 96 | 90 |
| Ilja et al.(2021) 100 mm (µm) | 102 | 107 | 109 | 126 | 114 | 102 | 102 | 97 |
|
Proposed eq 100 mm (30~42°C)(µm) | 101 | 106 | 103 | 106 | 106 | 101 | 101 | 95 |
Table 5.
Temperature-corrected deflection result of closed section at reference temperature 20°C using two formulas
공용성 변화가 없는 ○○폐도구간에서 선정한 20°C 원데이터의 기준 처짐값 106 µm과 비교하기 위하여 각각 다른 대표 온도 깊이에서의 보정처짐값들의 평균과 표준편차 값을 Table 6과 Table 7에 나타내었다. Table 6의 0~35°C 범위에서는 40 mm의 Ilja et al.(2021) 식은 처짐값을 작게 산정하여 과다평가하게 나타났으며, 100 mm의 Ilja et al.(2021) 식과 본 연구에서 제안한 식은 같게 산정되었다. Table 7의 30~42°C범위에서의 평균값은 40 mm의 Ilja et al.(2021) 식 지점이 가장 유사한 값으로 산정되었고 본 연구에서 제안식은 센서오차범위에 해당하는 3 µm 차이와 가장 작은 표준편차 변동성을 보이며, 100 mm의 Ilja et al.(2021) 식은 약 9 µm 정도로 차이를 보였다. 0~42°C 범위의 온도범위를 고려하였을 때 본 연구에서 제안한 온도보정 처짐식이 평균값과 표준편차 값이 가장 변동이 적다는 것을 알 수 있다.
Table 6.
Verification of Ilja et al.(2021)’ formula and Proposal formulafor 0~35°C at the closed section
| Average | Standard deviation | |
| Standard setting value (µm) | 106 | - |
| Ilja et al.(2021) 40 mm (µm) | 102 | 7.4 |
| Ilja et al.(2021) 100 mm (µm) | 106 | 6.5 |
| Proposed eq 100 mm (0~35°C)(µm) | 106 | 6.5 |
Table 7.
Verification of Ilja et al.(2021)’ formula and Proposal formula for 30~42°C at the closed section
| Average | Standard deviation | |
| Standard setting value (µm) | 106 | - |
| Ilja et al.(2021) 40 mm (µm) | 106 | 8.4 |
| Ilja et al.(2021) 100 mm (µm) | 115 | 7.8 |
| Proposed eq 100 mm (0~35°C)(µm) | 103 | 4.4 |
4. 다른 국내 지역의 적용성 검토
개발된 국내기후 조건의 온도보정식의 검증을 위하여 Choi(1998)의 교통량개방전으로 공용성 변화가 없는 △△신설 구간 FWD조사 자료의 처짐값을 활용하여 본 연구에서 제안한 국내 온도보정식의 적정성을 확인하고 기존식과의 처짐값 차이를 Table 8과 같이 비교분석하였다.
Table 8.
Temperature-corrected deflection result of new section at reference temperature 20°C using two formulas
|
October 24 15:00 |
October 24 16:00 |
October 24 17:00 |
November 20 13:00 |
November 20 15:00 |
November 20 15:30 |
November 20 16:30 | |
| Row data (µm) | 95 | 94 | 93 | 73 | 71 | 71 | 74 |
| Surface (°C) | 27.5 | 23.6 | 19.1 | 16.0 | 17.8 | 16.6 | 13.7 |
|
representative temperature (°C) (40 mm) | 25.0°C | 22.5°C | 19.4°C | 12.2°C | 14.4°C | 13.7°C | 11.8°C |
|
representative temperature (°C) (100 mm) | 23.8°C | 22.2°C | 20.2°C | 8.9°C | 11.2°C | 10.9°C | 9.8°C |
| Ilja et al.(2021) Republic 40 mm (µm) | 87 | 90 | 94 | 83 | 78 | 79 | 85 |
| Ilja et al.(2021) Republic 100 mm (µm) | 89 | 90 | 93 | 87 | 82 | 83 | 88 |
|
Proposed eq 100 mm (0~30°C) (µm) | 88 | 90 | 93 | 89 | 83 | 84 | 90 |
Table 8에서 교통량개방 전 신설 구간의 경우 10월 24일 17시의 데이터가 40 mm에서 19.4°C와 100 mm에서 20.2°C로서, 온도보정의 기준이 되는 대표온도 20°C와 유사하므로 FWD 원처짐값을 기준값으로서 93 µm으로 결정하였다. Table 8에서와 같이 본 연구에서 개발한 대표온도 깊이 100 mm의 온도보정식의 처짐값이 대표온도 깊이 40 mm와 100 mm에서의 전환처짐값들보다 기준값과 유사함을 알 수 있다.
이와 같이 교통량개방 전 신설 구간에 세 가지의 식을 적용했을 때의 처짐값들을 Table 9과 같이 비교 분석한 결과, 본 연구에서 제안한 온도보정식의 처짐 평균값이 기준처짐값대비 상대오차 3.2%로 가장 유사하게 나타났으며, 표준편차 값이 가장 작게 산정되는 것을 알 수 있다.
Table 9.
Verification of Ilja et al.(2021)’ formula and Proposal formula for 0~35°C at the new section
| Average | Standard deviation | |
| Test deflection of test temperature (µm) | 93 | |
| Ilja et al.(2021) 40 mm (µm) | 85 | 5.4 |
| Ilja et al.(2021) 100 mm (µm) | 87 | 3.7 |
| Proposed eq 100 mm (0~35°C)(µm) | 88 | 3.2 |
5. 결 론
본 연구에서는 처짐의 역해석탄성계수를 이용한 온도보정처짐방법과 처짐보정계수를 이용하는 방법 중 처짐보정계수 방법을 토대로 온도보정처짐식을 개발 및 검증하였고, 다음과 같은 결론을 얻을 수 있었다.
1) 국외의 Ilja et al.(2021)에 따른 온도보정처짐방법은 아스팔트층 두께에 상관없이 40 mm에서의 온도를 대표온도로 하였으나, 본 연구에서는 포장 층의 두께, 전날의 평균온도, 시험 당일 도로의 표면온도, 시간계수를 활용하는 방법을 엑셀프로그램으로 작성하여 아스팔트층 두께를 고려하여 산정하였다.
2) 국외의 Ilja et al.(2021)에 따른 온도처짐보정방법은 0~35°C 범위로 제안되었으나, 본 연구에서는 국내 기후조건을 고려하여 0~42°C까지의 범위의 20°C의 기준온도 처짐보정식을 개발하였다. 온도 특성에 따라 다르게 나타나는 D0와 다르게 D300, D900 센서값은 온도 분류하여 제안한 식들과 전체의 온도범위로부터 제안한 식의 차이가 최대 상대오차 3.25% 이내이므로 적용편의성을 위해 전체 온도범위의 식인 식 (4)로 제안하였다.
3) 공용성 변화가 없는 폐도구간의 4계절 FWD 처짐값을 대표온도 20°C 기준온도로 전환하여 분석한 결과, Ilja et al.(2021)의 40 mm의 대표온도를 통해 처짐보정하면 보정처짐값이 작아지게 되며 도로평가 시 도로포장을 과소평가하게 될 수 있음을 알 수 있었다. 또한 본 연구에서 제안한 온도 구분하여 제안한 온도보정처짐식은 온도범위 중 겹치는 부분인 30~35°C 범위에서 최대 상대오차가 3.7%로서, 중복된 온도범위에서 사용가능함을 알 수 있었다.
4) 국외의 제안식과 본 연구에서 제안한 식을 비교한 결과, 공용성 변화가 없는 폐도구간에서의 0~35°C의 범위에서는 두 식에서 산출된 값이 유사하였지만, 35°C 이상의 범위에선 본 연구의 제안 식이 가장 20°C 기준의 처짐값과 유사하고 변동이 가장 적게 나타남을 알 수 있었다.
5) 교통량개방 전 공용성 변화가 없는 신설 구간 FWD 처짐값을 활용하여 본 연구에서 제안한 국내 온도보정식의 적정성을 확인하고 기존식과의 처짐값 차이를 비교분석한 결과, 본 연구에서 개발한 대표 온도 깊이 100 mm의 온도보정식의 처짐값이 대표온도 깊이 40 mm와 100 mm에서의 전환처짐값들 보다 기준값으로 결정한 대표온도 20°C 부근의 실제 FWD 처짐값과 가장 유사함을 알 수 있었다.
6) 또한 교통량개방 전 신설 구간에 세 가지의 대표온도 깊이의 두 가지 온도보정 처짐식을 적용했을 때의 처짐값들을 비교분석한 결과, 본 연구에서 제안한 온도보정식이 처짐 평균값이 기준처짐값대비 상대오차 3.2%로 가장 유사하게 나타났으며, 표준편차 값이 가장 작게 산정되는 것을 알 수 있었다.
본 연구는 폐도구간의 하나의 아스팔트층 두께에 대한 온도프로파일을 고려한 결과이지만, 국외의 제안식에 한정된 온도범위조건을 국내에 적합한 넓은 온도조건의 범위를 제안하므로서, 시험 시 시간과 온도 조건에 한정되지 않도록 국내 FWD시험의 한계를 넘어서는 계기가 됨을 기대한다. 그러나 아스팔트 포장은 종류와 재료에 대하여 각각 처짐 특성이 다양하게 나타나나, 본 연구에서 활용한 폐도구간의 아스팔트 특성은 문헌에 나타나지 않아 연구적용의 한계성을 가지고 있다. 따라서 추후 본 연구에서의 온도 경향적 특성을 반영하고 있는, 재료적 특성을 모두 고려할 수 있는 탄성계수 개념의 보정방식과 연동할 수 있도록 추가 연구가 필요할 것이다. 이와 같이 추후엔 다양한 아스팔트 도로포장 단면에 대한 검증을 통하여 보완이 가능할 것이며, 국내 다양한 온도조건을 고려할 때 FWD 시험은 혹한기와 혹서기를 피하여 시험하기를 추천하며, 그 외 계절에서 본 제안식을 적용하여 아스팔트도로의 유지관리에 활용할 수 있기를 기대한다.








