1. 서 론
일반적으로 가열아스팔트(hot-mix asphalt: HMA) 혼합물은 고온으로 생산되어 1~2시간 만에 포설되며, 이 과정에서 트럭에 실려 운반・대기 중인 고온의 HMA는 비교적 짧은 시간에 급속하게 단기노화(short-term aging: STA)된다. 이러한 노화는 고온의 아스팔트가 공기 중의 산소와 접하며 산화(oxidation)되는 과정이며 이때 아스팔트는 경화된다. 그러나 포장에 포설되고 나면 혼합물은 식어서 더 이상 STA 때와 같은 속도로 노화되지 않고, 공용 중 오랜 시간에 걸쳐 서서히 장기노화(long-term aging)가 진행된다. 한편 포트홀 등 도로포장 보수용으로 사용되는 HMA는 장시간 고온이 유지된 상태로 운반되며 사용되므로 단기노화 속도로 더 오랜 시간 노화가 진행되며, 그렇게 노화된 것이 포설된다. 선행연구에 의하면 HMA의 노화도(aging level)는 온도와 시간의 함수로, 온도가 높으면 노화가 가속되고 시간이 길어지면 노화도는 더 높아지는 것으로 알려있다(An et al., 2021; Jeong et al., 2017; Kim et al., 2018, 2019, 2020). 이렇게 노화가 심하게 일어난 혼합물을 도로포장에 포설하면 이미 오래된 포장 혼합물과 같이 노화가 심한 것을 사용하는 것이므로 몇 년 안 되어 파손될 위험이 크다.
선행연구에 의하면 동절기에 플랜트에서 높은 온도(약 180°C)로 생산된 HMA 혼합물이 2시간 단기노화되면 그 혼합물 바인더의 절대점도는 약 8년 공용된 도로포장 코어에서 회수된 바인더의 절대점도와 유사한 것으로 보고되었다(Kim et al., 2016). 이는 같은 2시간이라도 HMA 혼합물이 정상 온도보다 20°C만 더 높아도 바인더가 급속히 심하게 노화됨을 보여준 한 예이다.
하지만 정상 온도라도 보수용으로 길게는 온종일(약 8시간으로 가정) 고온으로 보관・운반되는 혼합물의 노화도는 더 높을 것이다. 이 혼합물을 포설하면 이는 매우 오래된 포장의 혼합물과 유사한 노화 수준이므로 공용수명이 크게 단축되는 원인이 될 것이다. 즉, 앞서 언급한 8년 공용된 점도와 유사하게 노화된 신규혼합물을 포설한다면 이 포장의 공용수명은 그만큼 단축될 것이다.
일반적으로 포트홀을 보수하면 표면의 노폐물 등을 우선 제거하고 가열하여 일정 규모로 본 바닥포장을 굴착・분쇄 후 추가로 신규혼합물 넣고 혼합하여 고른 후 다진다. 이 경우 보수에 사용되는 신규혼합물은 노화도가 낮으므로 본바닥 혼합물과 혼합되어 최종적으로는 어느 정도 회생된 노화 상태의 혼합물이 포설될 것이다. 하지만 앞서 언급한 대로 신규혼합물이 더 많이 노화되었다면 최종 포설된 혼합물은 기존 포장보다 더 노화된 혼합물로 포설되므로 공용수명이 단축될 것이다.
이러한 배경하에 본 연구의 목적은 보수용 HMA 혼합물의 보온 운반 중에 노화되는 정도를 분석하여 그 심각성을 확인하고 그 문제점을 분석하는 것이다. 이를 위하여 온도와 시간에 따른 노화도 분석을 위해 gel-permeation chromatography(GPC)를 이용하여 대형분자(large molecular size: LMS) 비율을 측정하고 이를 통해 절대점도(absolute viscosity: AV)를 추정하였다. 그리고 이들 데이터를 이용하여 공용수명 단축 기간을 추정함으로써 노화도에 따른 문제의 심각성을 분석하였다.
2. 재료 및 방법
2.1 재료
본 연구에서는 일반 아스팔트포장 표층에 가장 많이 포설되어있는 혼합물이 13 mm 밀입도 혼합물이므로 보수용 혼합물도 이와 유사한 혼합물을 사용한다는 가정하에 수행되었다. 그러므로 사용된 바인더는 PG64-22 일반 아스팔트(pen 60-80, 절대점도 측정치 1,924 poise(p))와 굵은골재 최대치수 13 mm의 골재를 사용한 WC-1 입도의 혼합물을 사용하였다(Ministry of Land, Infrastructure and Transport, 2021). 잔골재는 편마암 screenings와 채움재로는 석회석 분을 사용하였다.
2.2 방법
국토부 배합설계 기준(2021)으로 WC-1 혼합물의 배합설계를 수행하여 최적 아스팔트함량(optimum asphalt content: OAC)을 결정하였다. 결정된 OAC로 혼합물을 믹서로 1분간 혼합 제조 후 보온박스에 보관되는 혼합물의 상태를 모사하기 위하여 160°C 오븐에 환풍 없이 1, 2, 4, 6, 8시간 보관하였다. 각 보관시간이 지난 후 혼합물을 꺼내어 바인더 노화 상태를 측정하였다. 바인더의 노화상태는 LMS와 AV를 측정하고 회귀분석을 통해 이 두 특성의 최적(best-fit) 상관관계 식을 구하여 현장 혼합물의 노화도 추정에 활용하였다. 이와 같은 연구의 내용을 Fig. 1에서의 흐름도를 통해 보여준다.
아스팔트는 산화되며 고분자화(polymerization)되면서 asphaltene이 증가하며 경화된다. 이를 GPC로 측정하면 LMS 비율증가로 나타나며 이의 한 예가 Fig. 2에서 노화된 아스팔트(Aged)의 곡선 초기가 불룩하여 LMS 비율(%)이 상대적으로 크게 나타난 것이다. 이 대형분자의 비율은 아스팔트의 점도, 강성, 침입도 등과 높은 상관관계가 있으므로 아스팔트의 특성을 예측할 수 있는 화학적인 성질이다(Ahn et al., 2002; Kim and Burati, 1993; Kim et al., 2005; Kim et al., 2005, 2015).
LMS의 측정은 아스팔트 혼합물 입자를 Tetra-hydro-furan(THF) 용액에 1/400 농도로 녹인 후 0.45 주사기용 filter로 거른 샘플을 GPC 시험기에 주입하여 측정한다(Kim et al., 2006). 1회 50 ml의 샘플을 주입기(Injection module)에 넣으며 주입된 샘플은 THF 용액(mobile phase)이 유동하는 관을 따라 35°C로 유지되고 있는 두 개의 직렬칼럼으로 1 ml/min의 속도로 유동된다. 아스팔트 분자는 이 두 칼럼을 통과하면서 크기에 따라 분류되어 큰 입자의 분자가 앞서 나오고 작은 입자의 분자가 뒤에 검출된다.
1회 주입된 샘플은 약 10~12분 지나면서부터 검출(detection) 되기 시작하며 약 22분까지 검출되고 안정화(stabilization)를 거쳐 30분에 완전히 끝난다. 그러므로 아스팔트 혼합물 바인더의 LMS는 약 2시간 이내에 측정된다. 즉, 준비된 혼합물 샘플을 녹이고 filtering하는 등 준비과정 약 10분, 1회 GPC 시험당 30분씩 3회 반복하면 90분을 합하여 약 100분 정도의 시간으로 아스팔트 노화도 측정이 끝나므로 늦어도 2시간 이내에 한 종류의 시험을 끝낼 수 있다. 계측된 각 chromatogram은 Fig. 2(a)와 같이 대형분자(LMS), 중형분자(medium molecular size: MMS), 소형분자(samll molecular size: SMA)로 구분하여 면적비(%)를 구하며 측정된 3개 반복 시험의 LMS 평균값을 분석에 사용하였다.
아스팔트 산화는 점도의 증가도 가져오며, 본 연구에서는 아스팔트의 절대점도(AV)를 KS M 2247에 의하여 측정하였다. Fig. 3(a)는 절대점도의 측정을 위해 60°C의 온도로 조절된 유조에 점도계를 넣고 측정하는 시험 장치이며, Fig. 3(b)는 점도 측정에 사용된 Canon Manning viscometer를 이다. 점도 측정을 위해서는 혼합물을 삼염화에틸렌(trichloroethylene: TCE)에 녹여 Abson 방법으로 혼합되어있던 아스팔트를 회수(recovery)하여 사용하였다. Fig. 4는 회수용으로 사용된 Rota vapor로 TCE에 녹은 아스팔트 용액에서 TCE를 기화시키며 아스팔트만을 회수하는 시험 장치를 보여준다.
3. 결과 및 고찰
3.1 시간에 따른 아스팔트의 노화
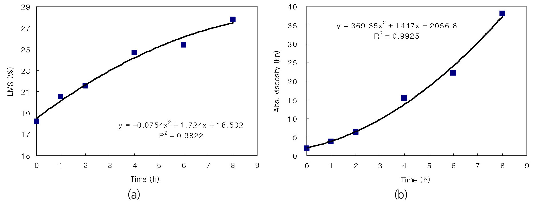
본 연구에서는 일반아스팔트(PG64-22) 밀입도 혼합물을 160°C 오븐에서 시간대별로 노화시킨 후 측정한 대형분자비율(large molecular size: LMS(%))과 혼합물로부터 Abson 방법으로 추출・회수한 바인더로부터 측정한 절대점도(Absolute viscosity: AV)를 Table 1에서 보여준다. 이 표에서 시간 0은 2.1 절에서 언급한 PG64-22 신규아스팔트의 LMS와 절대점도이다. 그리고 제조된 혼합물의 시간별 노화 후 측정한 LMS와 AV는 Fig. 5(a), 5(b)와 같이 매우 밀접한( > 0.98) 시간의 함수로 증가하는 양상을 보여준다. 단, LMS와 AV 모두 시간 증가에 따라 증가하나 LMS는 음 함수로 그 증가율이 완만하게 줄어드는 반면, AV는 노화 시간 증가에 따라 양의 함수로 그 증가율이 더 커지는 형태이다. 즉, 두 특성 모두 2차 함수의 형태로 증가하고 있으나 AV는 노화 시간 증가에 따라 점도가 매우 높게 증가 되며 심하게 경화될 수 있음을 보여준다.
Table 1.
Large molecular size (LMS) and absolute viscosity by aging time of asphalt mixture
| Property | Time (h) | Note | |||||
| 0 | 1 | 2 | 4 | 6 | 8 | ||
| Large molecular size (LMS: %) | 18.21 | 20.51 | 21.55 | 24.67 | 23.58 | 27.77 | |
| Abs. viscosity (p) | 1,924 | 3,802 | 6,254 | 15,393 | 22,066 | 37,981 | |
이 AV와 LMS의 회귀분석 결과 지수함수 모델로 가 얻어졌으며 이 모델의 결정계수(R2)는 0.9939이다(Fig. 6). 이는 아스팔트 LMS 비율은 AV와 매우 밀접한 관계가 있으며 LMS의 증가는 AV의 증가와 지수 함수적 관계가 있음을 보여주는 것이다. 이 관계식을 통해 아스팔트의 LMS를 알면 AV를 추정할 수 있다. 일반적으로 AV는 앞서 언급한 대로 Abson 방법으로 혼합물의 아스팔트를 TCE에 녹이고 원심분리와 기화 과정을 통해 회수된 아스팔트로부터 측정되는데 그 과정이 약 1~2일 걸린다. 이에 비하면 LMS 측정과 이를 이용한 AV 추정은 매우 적은 시간이 소요된다. 더구나 추출회수공정에서의 위생 및 환경문제와 그에 수반되는 시간, 숙련도에 따른 오차(error) 등을 고려한다면 LMS 측정은 훨씬 과학적인 아스팔트의 노화 측정 방법이라 할 수 있다. 따라서 이후의 과정에서 노화도는 LMS로부터의 AV 값을 식 (1)을 이용하여 추정한 EAV(estimated AV)를 사용하였다.
여기서, EAV = 추정절대점도(p), LMS = 대형분자 비율(%)이다.
아스팔트 포장 내 바인더는 장기간에 걸쳐 서서히 노화가 진행되며, Fig. 7은 실제 도로에서 채취된 코어 공시체로부터 측정된 절대점도와 공용연도(service life) 간의 관계를 회귀분석을 통해 나타낸 것이다(Kim et al., 2016). 이 회귀곡선도 지수함수로 나타나고 있으며, 이 곡선에 의하면 AV는 가 10 kp와 20 kp이면 공용연수가 약 5년과 8년임을 알 수 있다. 이는 역으로 말하면 몇 시간 동안 보온 운반된 혼합물 바인더의 절대점도가 10kp 또는 20 kp가 되었다면 이는 도로에서 각각 5년 또는 8년간 공용된 포장체 만큼 노화되었다는 의미이다. 그러므로 이런 혼합물을 포설하면 이미 5년 또는 8년 공용된 혼합물만큼 노화된 것을 포설하는 것이므로 수년 내로 파손될 가능성이 클 것임을 짐작할 수 있다. 즉, 새로운 포장이지만 포설된 혼합물이 이미 노화가 심해서 그만큼 공용수명이 단축(service life reduction: SLR) 될 수 있으므로 신설 포장으로써의 의미가 퇴색될 것이다(Kim et al., 2016).
장기노화는 시공 당시 혼합물의 노화 상태에서부터 노화가 더 진행되기 시작하므로 만일 절대점도가 20 kp로 노화된 혼합물을 포설한다면 Fig. 6에서와 같이 이미 8년 된 수준의 점도이므로 2년 후는 10년 공용된 포장 혼합물과 유사한 노화 상태가 될 것이다. 따라서 이렇게 노화된 혼합물로 포설된 포장은 공용수명이 짧을 것이다. 다시 말하면 8년 노화된 아스팔트만큼 점도가 높아진 혼합물을 포설한다면 이는 8년만큼 공용수명이 단축(service life reduction: SLR) 되었다는 의미이다(Kim et al., 2016). 이 값은 Fig. 7의 회귀식 모델 의 역함수인 로 구할 수 있다. 여기에 x = SLR(year), y = AV(kp)를 넣어 정리하면 식 (2)로 나타낼 수 있다.
Table 2의 PLMS(predicted LMS)는 Fig. 5(a)의 회귀모델 식을 이용하여 중간시간인 3, 5, 7시간 값을 포함한 0~8시간까지의 값을 1시간 단위로 예측한 값이다. 그리고 이를 이용하여 식 (1)로 추정한 절대점도 EAV와 그 EAV로부터 식 (2)로 계산한 공용수명 단축(SLR) 기간을 보여준다. 표에서 보듯이 4시간 노화된 것은 SLR이 6년 이상, 6시간 경과된 것은 9년 이상의 SLR이 얻어져 그 심각성을 보여준다. 그리고 10 kp(10,000 p)의 EAV는 3시간 남짓 노화되어 나타나는 것으로 추정되며, 이는 Fig. 7을 통해 약 5년의 공용된 혼합물의 점도와 유사하므로 SLR ≒ 5년인 것을 알 수 있다.
Table 2.
Large molecular size (LMS) and absolute viscosity by aging time of asphalt mixture
| Property | Time (h) | Note | ||||||||
| 0 | 1 | 2 | 3 | 4 | 5 | 6 | 7 | 8 | ||
| LMS1 (%) | 18.21 | 20.51 | 21.55 | - | 24.67 | - | 25.38 | - | 27.77 | |
| PLMS2 (%) | 18.50 | 20.15 | 21.65 | 23.00 | 24.19 | 25.24 | 26.13 | 26.88 | 27.47 | by Fig. 5(a) |
| AV3 (p) | 1,924 | 3,802 | 6,254 | - | 15,393 | - | 22,066 | - | 37,981 | |
| EAV4 (p) | 2,162 | 3,664 | 5,918 | 9,111 | 13,327 | 18,641 | 24,774 | 31,484 | 38,018 | by Eq. (1) |
| SLR5 (year) | - . | 1.16 | 3.14 | 4.91 | 6.48 | 7.86 | 9.03 | 10.02 | 10.79 | by Eq. (2) |
3.2 보수 아스팔트의 노화
도로파손 현장에서 포트홀 보수는 표면 오물을 제거 후 가열하여 Fig. 8에 보듯이 포트홀보다 넓게 본바닥 포장을 절삭・분쇄하고 부족한 양의 혼합물은 보온 운반한 신규혼합물과 고르게 혼합하고 다진다. 이때 유제 또는 신규아스팔트를 경계면을 포함해 필요시 혼합물에도 첨가하여 보수된 포장 혼합물의 노화도는 개선되는 효과가 있다(Kim, 2019). 본 연구에서는 포장의 노화도가 유사한 포트홀 두 곳의 본바닥 혼합물의 LMS를 측정하고 사용되는 신규혼합물이 2시간과 8시간 운반된 것을 사용 시의 결과를 비교하였다. 이 두 포트홀의 경우 본바닥에서 파낸 혼합물과 추가된 신규혼합물의 양은 거의 같았으며, 추정 혼합물 중량의 약 1.0%의 PG58-22 아스팔트가 사용되었다.
Table 3은 보수시 굴착된 본바닥 포장(old asphalt pavement) 혼합물에서 측정한 LMS로 추정한 절대점도(estimated AV: EAV)와 보수용으로 사용된 신규혼합물(new asphalt mix)의 LMS를 보여준다. 그리고 이 두 혼합물을 혼합하여 보수된 최종 혼합물(finished pavement mix)의 LMS로부터 EAV를 추정하고 이를 근거로 추정한 SLR을 보여준다. 두 본바닥 혼합물의 노화도는 SLR로 볼 때 약간의 차이는 있으나 9년대이다. 그러나 A의 신규혼합물은 2시간 된 것으로 EAV가 약 6,000 p이나, B에서는 8시간 노화되어 EAV가 약 50,000 p이다. 따라서 두 혼합물을 혼합한 후 보수된 혼합물의 EAV와 SLR은 차이가 크다. 즉, 본바닥 혼합물의 점도가 30,000 p대로 높고 SLR이 10년에 가까웠던 A 포트홀은 덜 노화된 2시간 운반혼합물이 사용되어 보수 후 EAV가 15,000 p대로 낮아지고 추정 SLR이 7년대로 낮아졌다. 반면 본바닥 포장의 점도가 27,000 p대로 A보다 다소 낮던 B에는 심하게 노화된 8시간 운반혼합물이 사용되어 보수 후 EAV가 30,000 p대로 높아졌고 추정 SLR도 10년 가까운 수준으로 높아졌다. 이는 보수 후 오히려 더 노화된 포장이 된 것이다.
Table 3.
Estimated AV (EAV) and service life reduction (SLR)
이상의 결과를 통해 보온・운반되며 노화된 혼합물의 사용은 보수용으로 사용될 경우도 이와 같은 부작용이 발생 될 것임을 알 수 있다. 이는 보수된 부분이 본 포장보다 더 먼저 파손될 우려가 있음을 의미하는 것이므로 이에 대한 대책이 있어야 할 것으로 사료 된다. 향후 그 대책으로 첨가제를 사용하여 혼합물 노화를 줄이는 방법(김광우, 2019)과 시공온도가 제대로 유지되지 못하므로 시공 후 마이크로웨이브 조사(irradiation) 등으로 혼합물의 결합강화를 통한 성능 강화방안(Bochove, 2016; Contreras and ConchaJosé, 2016; He et al., 2020; Kim and Kim, 2022; Liang et al., 2016; Xu et al., 2021) 등도 고려해 볼 수 있을 것이다.
4. 결 론
가열아스팔트 혼합물은 고온으로 생산되어 운반・대기 과정에 단기노화되며 이는 아스팔트의 점도를 높여 혼합물을 경화시키는 것으로 알려져 있다. 그리고 포트홀 등의 보수용으로 보온 운반되는 혼합물은 이보다 더 긴 시간 운반・대기 되어 더 심한 노화가 발생한다. 본 연구에서는 보수용 HMA를 보온・운반하면서 사용할 때 시간이 오래 지나면서 노화되는 현상이 얼마나 유해한지 포장의 공용수명 차원에서 고찰하였으며, 상기 연구 결과를 토대로 얻어진 결론은 아래와 같다.
1) 보수용으로 생산된 신규 밀입도 가열아스팔트 혼합물은 초기 1-2시간에는 점도가 낮은 상태이나 장시간(본 연구에서는 최대 8시간) 보온 유지되며 노화되면서 산화가 심하게 일어나며 점도가 크게 높아짐을 확인하였다.
2) 이 노화도를 절대점도(abs. viscosity: AV)를 통해 기존 도로의 아스팔트포장과 비교 실험한 결과 3-시간 이상 160°C로 보온과정에 약 5년 공용된 포장 혼합물과 유사하게, 그리고 5시간 이상 보온 시는 8년된 포장 혼합물과 유사하게 AV가 높아지는 심한 노화가 발생하였다.
3) 이렇게 5년 또는 8년 공용된 포장 혼합물과 유사한 점도로 노화된 혼합물을 포설한다면 이는 이미 도로에서 그만큼 노화된 것과 같은 상태이므로 그 기간만큼 공용수명 단축(service life reduction: SLR)이 발생 되는 것으로 추정할 수 있다.
4) 또한, 이렇게 노화된 혼합물로 도로포장을 보수하면 기존 본바닥 포장보다도 더 노화된 상태로 보수가 될 수 있어 본바닥 포장보다 더 빨리 파손될 위험도 있음을 확인하였으므로 이에 대한 대책이 시급함을 알 수 있었다.
하지만 본 연구는 한 종류의 혼합물과 한정된 현장 데이터를 이용한 것이므로 보다 많은 재료와 여러 현장의 데이터를 이용한 연구를 통해 일반화된 결론을 도출하여야 할 것을 제시한다.










