1. 서 론
2. 연구방법
2.1 아스팔트 혼합물 종류
2.2 균열저항성 분석 방법
3. 연구결과
3.1 간접인장강도 및 터프니스
3.2 인장에너지를 고려한 균열 저항성 평가
4. 결 론
1. 서 론
국내 아스팔트 포장 유지보수시 검토하는 아스팔트 포장 주요 파손은 소성변형과 균열이며, 이에 대한 저항성을 확보하는 것이 중요하다. 일반국도 유지보수시 소성변형이 15 cm 이상이거나, 균열율이 20%이상인 경우 덧씌우기 이상의 보수가 이루어진다(Kim et al., 2009). 이 중 소성변형에 대한 시험방법과 기준은 국내외에서 다양하게 적용되고 있으며, 실제 거동과 상관성이 높은 것으로 평가되고 있다. 그러나 균열 저항성은 연구단계에서 평가되고 있는 시험방법은 다양하게 있으나 기준으로 활용되는 것은 많지 않다. 특히 국내의 기준으로 활용되고 있는 간접인장강도와 터프니스는 균열저항성과 상관성이 낮다는 연구결과가 발표되었다(Jeong et al., 2020). 이에 따라 본 논문에서는 국내 기준으로 적용되는 간접인장강도 및 터프니스와 함께 간접인장강도 시험을 동일하게 하되 시험분석 방법을 개선한 균열저항성 평가방법을 개발하기 위해 연구하였다.
2. 연구방법
2.1 아스팔트 혼합물 종류
간접인장강도 시험에 따른 연성과 강성 관련 인자를 도출하기 위하여 기존 연구(Lee, 2014) 중 Table 1의 마샬다짐기를 이용한 PG64-22, PG76-22의 19 mm 아스팔트 혼합물의 시험결과 원본 자료를 이용하여 분석하였다. 아스팔트 함량은 4.5%~6%이었으며, 다짐온도를 115°C~175°C까지 변화하여 연구한 자료였다. 시험결과의 명칭은 아스팔트 혼합물의 골재크기, PG 고온등급 순으로 19PG64와 같이 표기하였다.
Table 1.
Mixture description and compaction temperature
| Maximum Aggregate Size | Binder Grade | Compaction Temperature |
| 19 mm | PG64-22 | 115°C, 135°C, 155°C, 175°C |
| PG76-22 |
2.2 균열저항성 분석 방법
국내 국토교통부 기준(MOLIT, 2021)에 따라 간접인장강도()와 터프니스를 계산하였다. 그리고 Fig. 1과 같이 시험과정에서의 간접인장강도()와 변형률()을 계산하였으며, 이를 이용한 식 (1)의 인장에너지(Tensile Energy: TE)를 계산하였다. 이 방법은 터프니스가 공시체의 두께와 직경에 대한 고려없이 평가하는 문제점을 개선한 것이다.
여기서, = 인장에너지(MPa)
= 최대 간접인장강도(Stmax)에서의 변형률
= 간접인장강도(MPa)
= 변형률
시험 중의 강성(Stiffness)은 식 (2)의 강도와 변형률의 비로 구하였고, 초기 이후의 최대 강성(Stiffmax)을 구하였다.
여기서, Stiffness = 간접인장강도와 변형률의 비(MPa)
= 간접인장강도(MPa)
= 변형률
Fig. 2와 같이 Stiffmax까지의 범위를 1st Area, 최대 인장강도까지를 2nd Area, 그 이후 최대 인장강도의 90% 값까지를 3rd Area로 정의하였다.
3. 연구결과
3.1 간접인장강도 및 터프니스
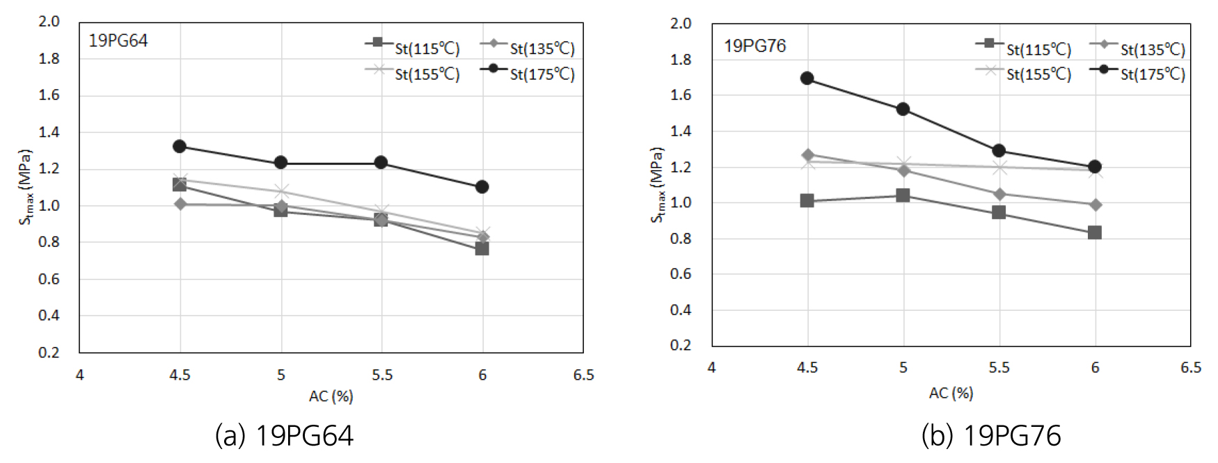
국내 기준에 따라 계산한 간접인장강도()는 Fig. 3에서 대부분 다짐온도가 높아질수록 증가하지만 아스팔트 함량에 따라서는 낮아지는 것으로 나타났다. 또한 아스팔트 함량이 가장 낮은 것이 대부분 간접인장강도가 가장 크기 때문에 균열저항성 보다는 아스팔트 혼합물 강성의 증가와 관련 있는 것으로 판단되었다. 터프니스는 아스팔트 함량에 따라 증감이 있거나 변화가 크지 않았다(Fig. 4). 따라서 터프니스 또한 아스팔트 함량에 따른 균열저항성의 추세를 보여주지 못하는 것으로 파악되었다.
3.2 인장에너지를 고려한 균열 저항성 평가
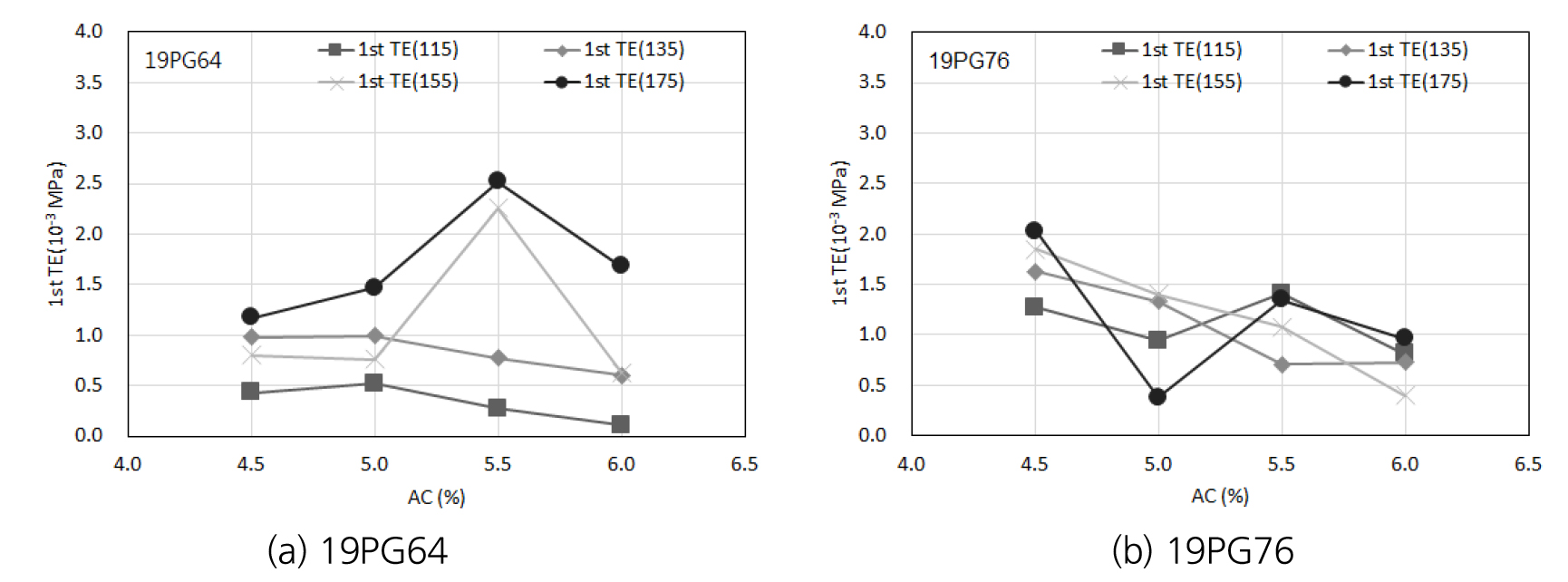
인장에너지(TE)의 첫 번째 구간인 1st TE는 시험시작부터 Stiffmax까지의 인장에너지이며, 균열발생 전까지의 소산에너지로써 아스팔트 함량 증가, 온도 감소에 따라 대부분 낮아지는 것으로 나타났다. 다만 19PG64의 경우에는 150°C 이상에서, 19PG76은 115°C, 175°C에서 아스팔트 함량 5.5%에서 증가 후 감소하였다. 그리고 19PG64와 19PG76을 비교시 개질 아스팔트 사용에 따라 평균 14% 증가하였으며, 적합한 다짐온도로 판단되는 155°C로 다짐한 19PG76을 135°C로 다짐한 19PG64와 비교시 42% 증가한 것으로 나타났다(Fig. 5).
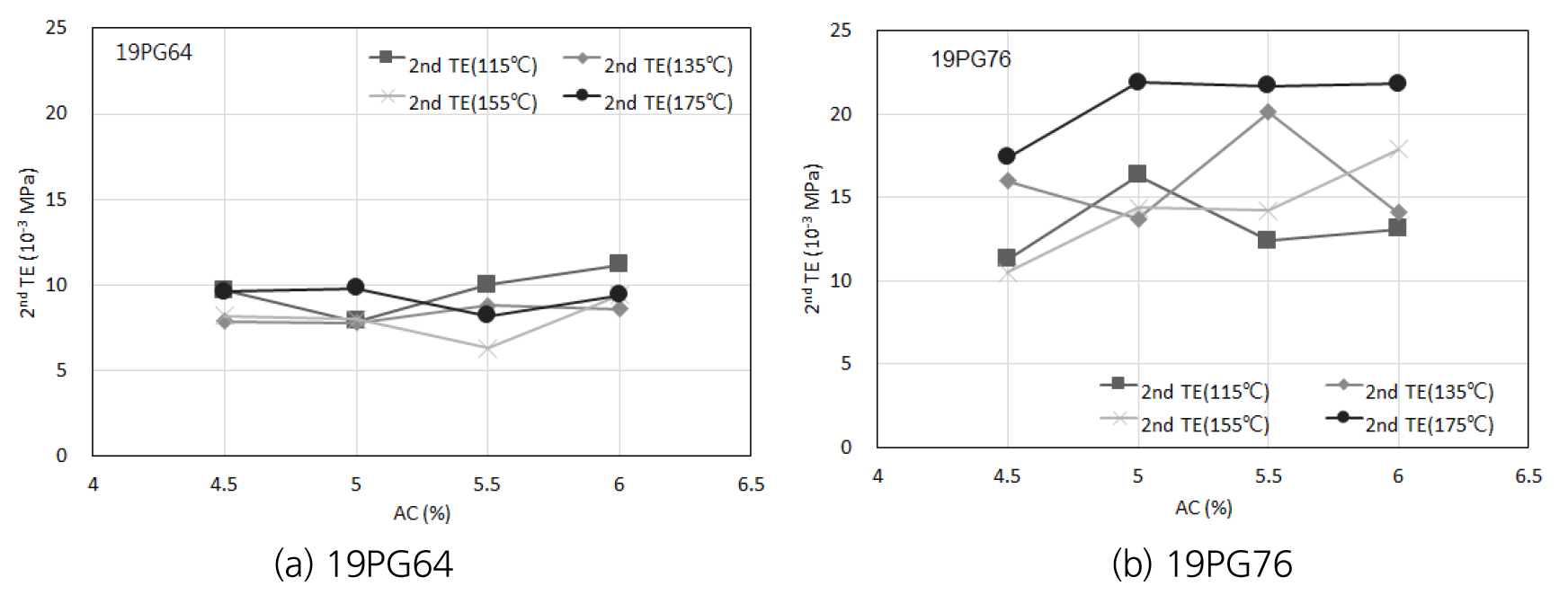
2nd TE는 1st TE 이후 최대 간접인장강도(Stmax)까지의 소산에너지이다. 대부분 다짐온도 증가, 아스팔트 함량 증가에 따라 높아졌다. 다만, 아스팔트 함량에 따른 증가는 크지 않았고, 일부 아스팔트 함량 이후에는 감소하는 경우도 있었다. 19PG64와 19PG76을 비교시 개질 아스팔트 사용에 따라 평균 82% 증가하였다(Fig. 6).
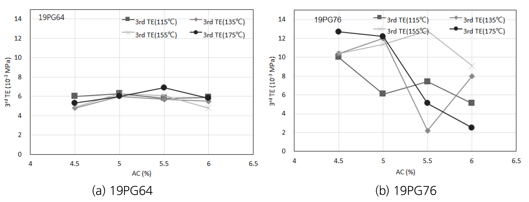
3rd TE는 최대 간접인장강도(Stmax)까지의 2nd TE 이후 최대 간접인장강도의 90%까지의 소산에너지이다. 19PG64는 아스팔트 함량이 증가하면서 값이 높아지다가 낮아지는 결과가 얻어졌다. 그리고 19PG76은 다짐온도 155°C 의 실험결과를 제외하고 대부분 아스팔트 함량의 증가에 따라 낮아졌다. 19PG64와 19PG76을 비교시 개질 아스팔트 사용에 따라 평균 49% 증가하였으며, 적합한 다짐온도로 판단되는 155°C로 다짐한 19PG76를 135°C로 다짐한 19PG64와 비교시 98% 증가한 것으로 나타났다(Fig. 7).
4. 결 론
아스팔트 혼합물의 균열 저항성 평가 시험에 대한 연구 결과 다음과 같은 결론을 얻을 수 있었다.
1)간접인장강도는 균열저항성 보다는 아스팔트 혼합물 강성의 증가와 관련이 있었으며, 터프니스는 뚜렷한 추세를 나타내지 못하였다.
2)간접인장강도와 변형률을 반영한 인장에너지를 이용하여 기존 기준인 터프니스가 공시체의 두께와 직경에 대한 고려없이 평가하는 문제점을 개선하였다.
3)최대강성한계까지의 인장에너지인 1st TE는 PG64-22 아스팔트와 PG76-22 개질 아스팔트를 사용함에 따른 초기 강성의 변화를 효과적으로 평가할 수 있는 것으로 판단되었다. 또한, 1st TE는 균열이 거의 발생하지 않을 때까지 견딜 수 있는 소산에너지이므로 이 값이 높을수록 균열저항성이 높을 것으로 판단되었다.
4)균열 발생이 진전되는 과정에서 최대하중까지의 소산에너지인 2nd TE는 아스팔트 함량에 따라 증가하는 추세의 값이었다. 아스팔트 혼합물의 연성과 상관성이 높은 것으로 판단되었다.
5)2nd TE 이후 최대간접인장강도의 90%까지의 소산에너지인 3rd TE는 PG64-22의 일반아스팔트를 사용하였을 경우에는 일정 아스팔트 함량까지 증가하다 감소하였지만, 개질 아스팔트 혼합물의 경우 아스팔트 함량 증가에 따라 감소하는 추세였다.
6)공시체 옆면에 LVDT를 사용함에 따라 간접인장강도 시험시 일정 변위 이후에는 실험을 종료하여 연구에서 최대 간접인장강도의 90% 값까지만 분석할 수 있었다. 따라서, 추가연구에서는 이를 개선하여 3rd Area 이후의 값의 변화를 추가 분석해서 평가해야 할 것으로 판단되었다.









