1. 서 론
2017년 11월 15일 포항지진이 발생한 바 있다. 이때, Fig. 1(a)에 나타난 바와 같이 논, 건물 인접부지, 유치원 보도, 건물의 인접보도 등에서 액상화가 발생하여 크게 논란이 된 바 있으며 이를 계기로 국내 주요 시설물에 대한 액상화 대책연구가 크게 주목받고 있다. 액상화의 경우, 느슨한 사질토 또는 매립지반에서 그 발생가능성이 더욱 높은 것으로 알려져 있는데, 80년대 후반부터 시작된 국내 매립지 개발사례를 고려할 때, 이에 대한 대책마련이 매우 중요하다. 도로의 경우, 상재하중이 거의 없는 점으로부터 이에 대한 도로 성토부에 대한 안정성 평가에 대한 연구가 크게 주목받고 있는 실정이며 특히, Fig. 1(b)에 나타난 바와 같이 2011년 뉴질랜드에서 발생한 Christchurch 지진발생시 액상화로 인해 도로가 파괴된 점을 고려할 때, 국내에서도 이에 대한 연구가 매우 필요한 실정이다.
이 연구에서는 최근 국내 대규모 매립공사가 수행된 서해안의 S지역을 대상으로 도로 성토부에 대한 자료를 토대로 지진시 안정성평가를 수행하였으며 이때, 액상화와 같은 지반의 동적거동을 예측할 수 있는 유효응력개념의 수치해석을 수행하고 이를 진동대시험과 비교하고자 한다.
2. 유효응력개념의 수치해석
지반은 고체, 액체, 기체로 구성된 복합재료로 흙 입자, 간극수, 그리고 공기로 구성되어 있어 이에 대한 해석이 쉽지 않다. 특히, 내진분야에서는 포화된 사질토 지반이나 매립지반 내 지진과 같이 급작한 진동하중을 받게 되면 지반 내 간극수압이 크게 증가하여 늪과 같이 지반이 액체처럼 거동하는 액상화가 발생하게 되는데, 이때 지반 내 간극수의 동적거동을 어떻게 모사하느냐가 매우 중요하며 이를 해석할 수 있는 구성모델을 이용하는 것을 유효응력해석이라고 한다. 대표적인 유효응력해석 이론으로는 미국 아리조나대학의 Desai교수가 개발한 Disturbed State Concept모델(Desai, 2000)을 국내 연구진이 업그레이드한 연구가 있으며, 일본의 경우, 항만의 내진해석에 이용되는 Finite element analysis of Liquefaction Process 프로그램(Iai et al., 1992)이 대표적이며, 범용적으로는 유한차분해석프로그램인 Fast Lagrangian analysis of continua (이하 FLAC) 프로그램에 인용된 Finn 모델(Martin et al., 1975)을 들 수 있다. 국내의 경우, 액상화 현상이 발생한 포항지진 이후, 이에 대한 연구가 주목받고 있으며 안재광 등(Ahn et al., 2018)은 1차원 응답해석에 유효응력해석에 기초한 1차원 응답해석을 통해 포항지역에 대한 연구를 수행한 있으며 이진선 등(Lee et al., 2018)이 원심모형시험을 이용하여 케이슨 안벽에 대한 해석을 수행한 연구가 있는데, 이 연구에서는 유효응력해석 프로그램으로 FLAC 프로그램을 이용한 점이 특징적이다. 또한, 진동대실험을 이용한 유효응력해석 관련 연구는 Choi and Baek (2018)과 Choi (2020)의 연구를 들 수 있다.
이 연구에서는 국내외에서 이용빈도가 높은 범용 수치해석프로그램인 FLAC을 이용하여 지진시 도로 성토지반에 대한 수치해석을 수행하고자 한다. 이때, FLAC에 내재된 유효응력 해석모델인 Finn모델을 이용하고자 한다. Finn모델은 캐나다 British Columbia대학의 Finn교수가 진동하중 및 지진하중에 의한 포화 사질토의 액상화 발생 메카니즘의 정량적으로 해석한 최초의 유효응력 해석모델이다. 이 모델에서는 비배수 조건에서의 동적 과잉간극수압은 배수조건에서의 체적변형 감소와 상관관계가 있다고 간주하고 실험을 통해 상관식을 제안한 것이 특징적이다. 이 연구에서 과잉간극수압에 대한 고려는 진동하중이 작용할 때 발생하는 체적변형률의 증분과 전단변형률과의 상관관계를 통해 입자 접촉면의 미끄러짐(slip deformation)으로 유효응력의 감소가 발생한다는 정의에 기초한다. 즉, 전단변형이 일어날 때 발생하는 입자 사이의 접촉력은 배수조건의 단순진동전단시험시 발생하는 접촉력과 비슷하다는 가정 하에 체적변형률의 증가에 따라 발생되는 입자 접촉면의 미끄러짐을 입자의 접촉력에 의한 수직응력으로 변환하고 진동하중의 증가에 따라 간극수압은 그에 따른 입자 접촉면의 탄성변형에 의한 회복 가능한 체적변형률(recoverable volumetric strain)의 증가와 연계하여 유효응력이 감소한다고 하였다. 이에 대한 상관관계를 식으로 나타내면 식 (1)과 (2)와 같다.
여기서, 는 잔류간극수압의 증분, Kw는 물의 체적탄성계수, ne는 시료의 간극률, 은 회복탄성계수, 는 간극체적의 변화,는 미끄럼 변형이 일어날 때의 모래의 체적 감소이다. 또한, 포화토에서, 물의 체적탄성계수, Kw는 kN/m2이며 일차원 압밀제하 곡선에서 접선의 기울기,은 이보다 작은 105 kN/m2의 값을 가진다. 여기서, 물을 비압축성으로 고려하면 체적변화는 없다고 할 수 있으며, 이를 기초로 하여 식 (3)과 같이 나타내었다.
여기서, 은 회복 가능한 체적변형 발생시, 모래의 체적증가를 나타내며 Finn모델을 탑재한 범용 프로그램 FLAC에서는 실험결과를 토대로 유효응력 매개변수를 추천하고 있다.
3. 지진시 안정성평가를 위한 유효응력해석
3.1 해석조건
이 연구에서는 수년 전 대규모 매립이 수행되어 부지가 조성된 서해안의 S지역에서 최근 도로 건설이 계획된 매립지역을 대상으로 지진시 안정성평가를 위한 유효응력해석을 수행하였다. 계획된 도로 성토부지는 Fig. 2와 같다.
수치해석에 있어서 지진하중에 대한 고려는 붕괴방지 1등급인 0.154 g를 적용하였으며 입력지진은 장주기특성의 지진과 단주기특성의 지진을 선정하였다. 이에 대한 지진가속도이력을 나타내면 Fig. 3과 같다.
수치해석시 입력된 지반물성과 동적물성은 Tables 1과 2와 같다. 이때, 지반물성은 실내실험을 통해 산정하였으며 동적물성은 국내 경험식(Sun, 2010)을 이용하여 산정하였다.
Table 1.
Soil properties
Table 2.
Dynamic soil properties
이상의 내용을 토대로 Fig. 2를 수치해석을 위한 해석망(mesh)을 조성하면 Fig. 4와 같다.
3.2 수치해석 결과
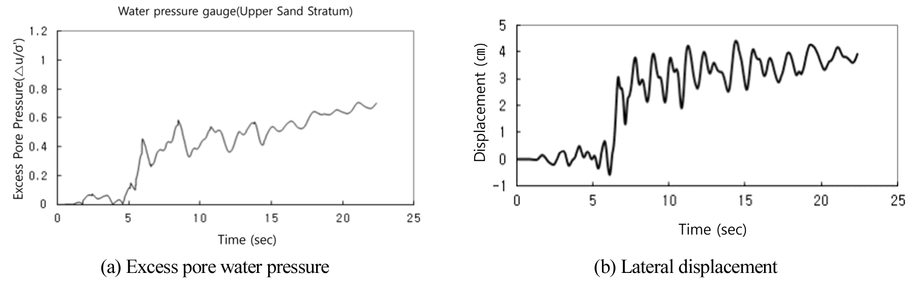
Finn모델을 이용하여 유효응력해석을 수행한 수치시뮬레이션 결과 중 최대간극수압과 최대수평변위가 나타난 곳(Tables 1 & 2의 상부모래층)의 결과를 나타내면 Figs. 5 및 6과 같다.
Figs. 5와 6을 보면, 과잉간극수압비가 장주기 및 단주기 지진입력시 1에 가까운 것으로 나타났다. 이는 액상화가 발생할 가능성이 매우 높은 것으로 지반보강이 필요한 것으로 판단된다. 이를 고려하여 이 연구에서는 지반보강을 고려하여 Fig. 7과 같이 다시 수치해석망을 재조정하여 수치해석을 수행하였다. 이때, 지반보강은 성토부 지하부를 대상으로 하는 것으로 고려하였다.
지반보강에 대한 수치해석에 있어서, 지반보강부의 물성은 Table 1에 나타난 풍화토 상부의 물성을 대입하였다. 해석결과, Tables 1과 2의 상부모래층에서의 결과는 Figs. 8 및 9와 같다.
보강 전후의 수치해석결과를 비교해 보면, 보강 후 과잉간극수압비는 장주기는 0.6 수준, 단주기는 0.7수준으로 약 2/3수준인 것으로 나타났으며 수평변위의 경우에는 약 1/3수준으로 작아진 것으로 나타나 보강을 통해 지진시 안정성 확보를 하는 것이 효과가 있는 것으로 나타났다.
수치해석 결과, 매립지반에서 붕괴방지 1등급 수준의 지진이 발생하게 되면 액상화가 발생 수준의 과잉간극수압이 예상되며 이로 인한 수평변위도 도로의 파손을 야기시킬 수준으로 발생할 가능성이 높은 것으로 나타났으며 이를 대비한 지반보강이 함께 이루어지면 지진시 과잉간극수압고 수평변위의 발생수준이 보강 전보다 크게 낮아지는 것으로 나타났다. 이를 통해 이 지역의 시주요 시설물(붕괴방지 1등급)을 건설할 경우, 시설물 부지 주변에 대한 지반보강은 반드시 필요할 것으로 판단된다.
4. 진동대시험을 통한 지진시 안정성평가
이 연구에서는 3장의 수치해석과의 비교를 위해 진동대시험을 수행하였으며 이때, 수평변위가 높게 나타난 장주기 지진을 대상으로 하였다. 다만, 보강효과를 확인하기 위해 보강 전후로 진동대시험을 2회 실시하였다. 진동대시험의 개요도는 Fig. 10과 같다.
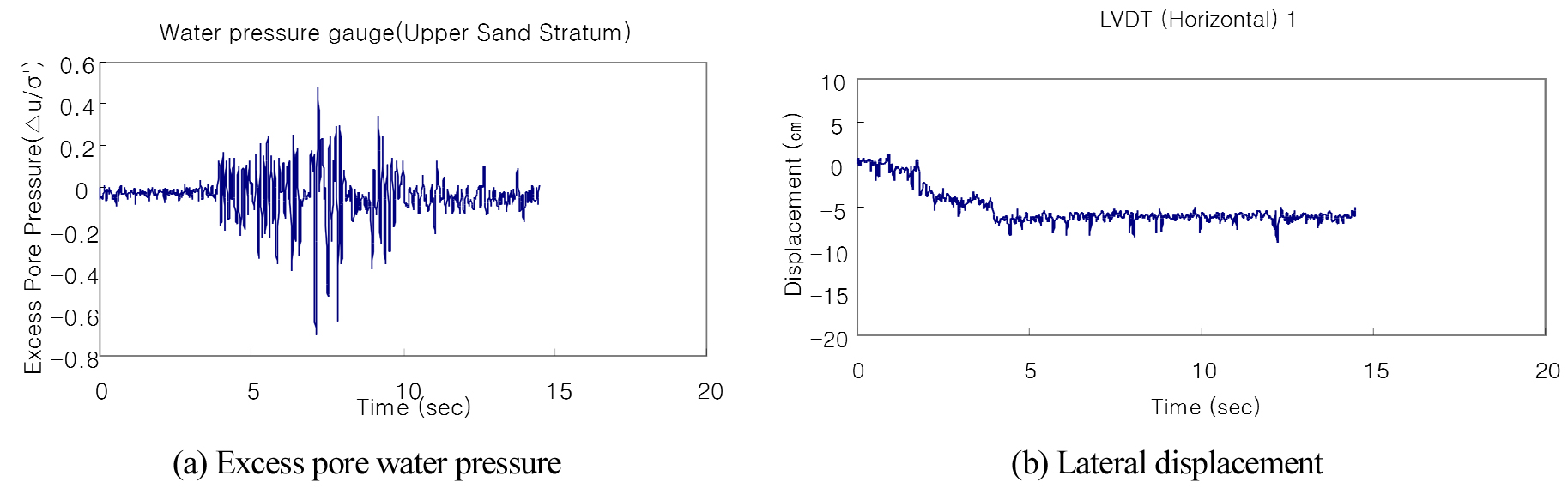
진동대 시험결과, 최대 간극수압과 최대 수평변위에 대한 결과를 나타내면 Fig. 11과 같다.
진동대 시험결과인 Fig. 11과 Fig. 12를 수치해석 결과인 Fig. 5와 Fig. 8의 결과를 비교하면 과잉간극수압의 경우, 개량 전후의 결과는 유사한 것으로 나타났다. 그러나 수평변위의 경우에는 진동대시험의 경우, 보강전보다 2/3수준으로 나타나 수치해석결과와 다른 경향을 보였다. 이는 수치해석결과에 이용된 Finn모델이 과잉간극수압의 예측을 위한 해석모델로 액상화로 전이될 때부터 시작되는 대변형의 영향을 미처 고려하지 못함에 기인한 것으로 판단된다. 이를 통해 범용 프로그램인 FLAC의 Finn모델을 이용하여 지진시 안정성평가를 수행하는 경우, 수평변위보다는 과잉간극수압의 동적거동에 포커스를 두는 것이 바람직할 것으로 판단된다.
5. 결 론
이 연구에서는 국내 발생한 포항지진의 액상화 발생과 관련하여 도로 성토지반에 대한 지진시 안정성 평가를 수행하였으며 이때, 액상화 발생가능성이 높은 것으로 알려진 매립지반을 대상으로 하였다. 특히, 최근 국내 대규모 매립지반이 조성된 점을 고려하여 서해안의 S지역을 대상으로 지반보강 전후 및 붕괴방지 1등급 수준의 지진이 발생한 경우를 고려하여 안정성 평가를 수행하였으며 이때, 입력지진은 장주기 및 단주기 특성의 지진을 적용하였다. 안정성 평가에서는 지반의 지진해석에서 신뢰성이 높은 것으로 알려진 유효응력 해석모델을 이용하였으며 범용프로그램인 FLAC에 내재된 유효응력 해석모델인 Finn모델을 적용하였다. 또한, 수치해석과의 비교를 위해 매립지반의 지반보강 전후를 고려한 진동대시험을 수행하였으며 이때, 입력지진은 수치해석에서 수평변위가 높게 나타난 장주기 지진을 입력하였다. 이 연구를 통해 얻은 결론은 다음과 같다.
1) 지반보강 전후를 고려한 유효응력개념의 수치해석 결과, 지반보강 전에는 과잉간극수압비가 1에 해당되는 결과를 나타내어 액상화 발생가능성이 높은 것으로 나타났으며 지반보강 후에는 과잉간극수압의 비는 2/3 수준, 수평변위의 경우에는 1/3 수준으로 작아지는 것으로 나타났다.
2) 장주기 및 단주기 입력지진에 대한 수치해석 결과, 장주기 및 단주기 모두 과잉간극수압비가 1에 해당되는 결과가 나타난 반면, 수평변위의 경우에는 장주기의 경우가 단주기의 경우보다 크게 나타났다.
3) 수치해석 결과로부터 장주기 입력시 수평변위가 크게 나타난 점을 고려하여 이를 고려하여 지반보강 전후를 모사한 진동대시험 결과, 지반보강 전의 경우, 과잉간극수압비가 1 수준으로 측정되었으며 수평변위의 경우, 수치해석 결과보다 작게 나타났다. 이에 반해 지반보강 후의 경우에는 과잉간극수압비가 수치해석과 유사하게 나타난 반면, 수평변위는 수치해석 결과보다 크게 나타났다.
4) 이상의 수치해석과 진동대시험을 통해 지진시 안정성 평가에 있어서 이 연구에서 이용한 유효응력 해석모델인 Finn모델을 이용할 경우, 과잉간극수압의 거동예측은 신뢰성이 높은 반면, 수평변위는 해석모델의 개선이 필요한 것으로 판단된다. 따라서, 국내 도로 성토지반의 지진시 안정성 평가시 유효응력개념의 수치해석을 이용할 경우에는 과잉간극수압을 중심으로 평가하는 것이 바람직할 것으로 판단된다.














