1. 서 론
2. 문헌고찰
2.1 라테라이트의 형성
2.2 포장재료로서의 라테라이트
3. 연구수행방법
3.1 비포장도로 구성성분의 공학적 분류
3.2 전산해석방법
4. 전산해석 결과
4.1 개선공법 종류별 전산해석 결과
4.2 비포장도로 구성별 전산해석 결과
5. 결 론
1. 서 론
라오스의 도로포장율은 2022년 기준 17.12%으로 매우 낮으며 비포장도로가 주를 이루고 있다(Logistics cluster, 2023). 비포장도로를 구성하고 있는 주(Main) 토양은 라테라이트(Laterite)이며, FAO(Food and agriculture organization)의 WRB(World reference base for soil resource) 분류로는 아크리솔(Acrisol)과 옥시졸(Oxisol)에 해당된다(Hill, 2000; USS Working Group WRB, 2022). 라테라이트는 일반 모래보다 점토 함량이 높아 투과성이 낮고, 입자와 입자사이에 물이 갇혀 보수력(Water-holding)과 물가소성(Water-Plasticity)이 높다는 특징이 있다(Yamaguchi, 2007; Netterberg, 2014). 따라서 건기(Dry season)에는 라오스 비포장도로의 강도 및 지지력이 우수하나, 우기(Rainy season) 또는 스콜(Squall)성 폭우가 내리는 경우, 점토성분으로 인한 물의 배수 또는 투과부족으로 표면 토사가 유실되어 평탄성이 불량해져 Fig. 1처럼 차량의 통행이 어려워지며, 지지력이 크게 감소하게 되는 문제가 발생한다. 본 연구는 저예산으로 비포장도로의 품질을 개선시켜 해당 문제를 해결하고자 3종의 개선공법(시멘트 안정처리 재료(Cement treated base, 이하 CTB), 역청 안정처리 재료(Asphalt treated base, 이하 ATB) 그리고 린 콘크리트(Lean concrete, 이하 Lean Con’c))으로 상부층을 치환한 후, 수직변형률과 수평변형률을 비교 분석함으로서 현 비포장도로 물성에 적절한 시공두께를 공학적으로 도출하기 위해 FLAC 3D 프로그램을 이용한 전산해석을 수행하였다.
2. 문헌고찰
2.1 라테라이트의 형성
라테라이트는 열대 습윤지역의 고온다습한 환경의 토양으로서 우기 및 건기의 반복과 풍화과정으로 형성된다(Tardy, 1997; Yamaguchi, 2007; Whittington and Muir, 2008; Schellmann, 2023). 고온다습한 환경은 토양 내 미생물의 활동을 발달시켜 영양소와 다양한 이온을 풍부하게 형성시키지만, 우기시 침투한 우수는 미세입자로 인한 모세관 상승현상으로 영양소 및 이온이 표면으로 침출되고, 건기에 용해성 염화물을 형성시키게 된다. 이러한 염화물은 다음 우기에 우수로 씻겨 나가게 되며, 이러한 과정이 반복되면서 나트륨, 칼륨, 칼슘 이온 등이 점진적으로 고갈이 되는데, 풍화과정이 이루어지면서 티타늄, 철, 알루미늄 등의 산화물이 남게된다. 따라서 라테라이트는 붉은 색을 띠며 척박하기 때문에 농업용으로 적절하지 못하고, 벽돌 등으로 주로 사용되고 있다.
2.2 포장재료로서의 라테라이트
라테라이트를 포장재료로서 활용하기 위하여 다양한 연구 및 시공사례를 조사하였다. De Castro(1969)은 팽창시험을 통하여 라테라이트의 특징을 분석한 바 있으며(De Castro, 1969), Bhatia와 Hammond(1970)은 가나지역의 라테라이트를 채취하여 내구성과 강도를 평가한바 있다(Bhatia and Hammond, 1970). Gidigasu는 De Castro과 Bhatia와 Hammond의 연구를 기초로 다양한 지역의 라테라이트를 채취하여 입도 분석과 액・소성한계 분석, CBR 시험을 통해 포장재료서 적합한 라테라이트와 부적합한 라테라이트의 기준을 제시하였고, 이를 Table 1에 요약하였다(Gidigasu, 1974).
Table 1.
An engineering evaluation of laterite soils (Gidigasu, 1974)
Grace와 Toll(1987, 1991)는 케냐(Kenya)와 말라위(Malawi)에서 라테라이트를 이용한 시험포장구간에 대한 현장추적조사를 정리하여 라테라이트를 도로포장재료로 사용할 경우의 조건을 제시하였다(Grace and Toll, 1987; Grace, 1991). 1973년 케냐의 애버데어 레인지(Aberdare range)근처의 Mataara-Gatura Road의 일부를 라테라이트를 사용하여 시공을 하였으며, 이를 UNDP(United nations development programme)에서 1982년과 1985년에 육안조사를 실시하여 일반 포장구간과 비교분석하였다. 비교결과, 라테라이트를 사용하여 시공한 구간은 일반 포장구간 대비 포트홀 개수가 많았으나 라테라이트의 특성상 투수성이 낮고 입자간 응집성이 강하기 때문에 포트홀의 전체 면적은 적음을 확인하였다. 1983년 말라위 정부는 비피야 고원(Viphya plateau)내 일부 구간을 라테라이트를 기층 및 보조기층으로서 시험시공하였고, 약 18개월 후 강우량과, 교통량, 지반침식등을 조사하였다. 1985년 1월 26일부터 7월 11일까지 약 500 mm의 비가 내렸으며 17,000대의 중차량이 통과한 결과, 라테라이트 기층이 약 10 mm 정도 침하되었음을 확인하였다. 이는 라테라이트를 시공한 구간에서는 표층으로부터 약 150 mm 깊이까지는 시공시 다짐공에 영향을 받지만, 그 이후 깊이에서는 교통하중으로 인해 고밀도화 되는 것을 확인하였다. 이 결과를 토대로 Grace와 Toll은 라테라이트를 도로재료로서 사용하기 위해서는 첫째로, 시공시 초기 다짐이 적절해야하고, 라테라이트 재료가 벽돌처럼 경화되기 전 일정기간동안 우기와 건기 그리고 교통하중에 적절히 노출되어야 한다는 것을 제시하였다.
Katte et al.(2019)는 카메룬(Cameroon) Mbu-baforchu 지역에서 라테라이트를 보조기층재료로 사용한 고속도로 포장의 치수를 계산하기 위하여 탄성계수와 CBR(California bearing ratio)와의 상관관계를 확인하였다(Katte et al., 2019). 라테라이트를 채취하여 체가름분석, 수분함량분석, 애터버그(Attergerg) 한계 분석을 실시하여 CBR 시험을 실시하여 회귀분석을 통한 상관관계를 규명하였다. Mbu-baforchu 지역의 라에라이트를 HRB(Highway research board) 기준으로 분류한 결과 A-7-5로 분류되어 높은 가소성을 가진 재료로 판정이 되었다. 표층재료로서의 탄성계수와 CBR간의 회귀 방정식은 Edyn=155.8exp(0.0541CBR)(R2=0.9599)이고, 노상재료로서의 탄성계수와 CBR간의 회귀 방정식은 Edyn=69.064exp(0.0706CBR)(R2=0.9295)로 분석되었으며, 일반적인 도로 설계와 달리 선형관계가 아니라는 것을 밝혀내었다.
3. 연구수행방법
3.1 비포장도로 구성성분의 공학적 분류
라오스의 비포장도로를 구성하는 흙의 특성을 정확히 파악하고 탄성계수, 점착력 등을 추정하기 위하여 AASHTO분류법(AASHTO soil classification system) 및 통일분류법(Unified soil classification system)으로 분류하였다. Fig. 2는 AASHTO분류법 및 통일분류법을 보인 것이다(Das, 2009). 공학적 분류를 위해 비포장도로에서 시험용 샘플을 2채취한 뒤 흙의 입도시험(KS F 2302)와 흙의 액・소성한계 시험(KS F 2303)을 실시하였다. AASHTO 분류법의 군지수(Group index)는 식 (1)을 이용하여 계산하였다.
여기서,
GI=군지수
F=200번체 통과중량 백분율,%
LL=액성한계
PI=소성지수(=LL-PL, 단, PL은 소성한계)
Table 2, Fig. 3, 그리고 Table 3, Fig. 4는 채취한 샘플의 입도시험 결과와 액・소성한계 시험을 보인 것이다. 비포장도로에서 채취한 샘플의 D10, D30 그리고 D60은 0.08 mm, 0.10 mm, 0.15 mm로서 균등계수 Cu는 1.91, 곡률계수 Cc는 0.02가 나왔으며, 200번체 통과율은 6.48% 이다. 또한 액성한계 LL은 43.2, 소성한계 PL은 28.2이며, 소성지수 PI는 15.0이었다. AASHTO분류법으로는 A-2-7로 분류되며, 높은 가소성의 실트(High-plasticity silts)로 정의된다. 통일분류법으로는 분류표상에선 기호 SP(자갈 섞인 입도분포가 나쁜 모래)으로 분류되지만 소성도 차트에서는 기호 CL(세립질 무기점토) 또는 ML(세립질 무기 실트)로 분류된다. 따라서 본 논문에서는 해당 분류 결과를 모두 인용하여 클레이(Clay), SP를 모두 고려하였으며 샘플링이 수행되지 않은 일부 구간의 다른 성분을 고려하여 SM(자갈섞인 실트질 모래)까지 비포장도로의 구성성분을 공학적 분류로 파악하였다. 클레이의 경우, 비포장도로의 건기와 우기의 상태가 다름을 고려하여 우기를 묘사하는‘Very soft clay’, ‘Medium clay’그리고 건기를 묘사하는 ‘Very stiff clay’로 구분하였다.
Table 2.
Percent finer of sample
Table 3.
Liquid limit and plastic limit of sample
3.2 전산해석방법
Fig. 5는 FLAC 3D를 이용한 단면구성을 보인 것이다. 비포장도로는 오랜시간동안 자연스럽게 라테라이트 구성성분과 자갈 등이 축척된 형태로서 두께를 300cm로 가정하였다. 비포장도로의 구성성분을 공학적 분류결과에 근거하여 5종(Very soft clay, medium clay, very stiff clay, SP, SM)으로 구분하였고, 개선공법을 치환하지 않은 경우와(0 cm) 상부층을 CTB, ATB, Lean Con’c를 각각 3, 5, 10, 20 cm로 치환하고, 하중을 재하하였을 때 발생하는 처짐량과 수직변형률εz 및 수평변형률εt을 비교분석하였다. Table 4는 비포장도로 원지반과 3종의 개선공법의 물리적 특성을 보인 것이다. 비포장도로 원지반의 물성은 선행 연구자료 및 참고문헌을 참조하였다(Kézdi, 1974; USACE, 1990; FAA, 2011; Truty and Obrzud, 2015; Deuggal, 2017; Obrzud and Truty, 2018). 하중조건은 Fig. 6 및 Table 5와 같다. AASHTO의 HL-93 트럭의 탄뎀 모델(Tandem model)을 적용하였다.
Table 4.
Physical properties by type
4. 전산해석 결과
4.1 개선공법 종류별 전산해석 결과
Table 6부터 Table 8 그리고 Fig. 7부터 Fig. 9는 개선공법별 전산해석 결과를 요약한 것이다. 개선공법의 치환두께가 증가함에 따라 최대처짐량이 감소하였다. 또한 비포장도로가 우기상태일 때를 묘사한 ‘Very soft clay’에서 가장 크게 나타났다. ‘Very soft clay’에서 CTB로 상부층 20 cm를 치환한 경우 최대처짐량은 2.76 mm에서 0.86 mm로 약 68.8% 감소하였으며, ATB로 상부층 20 cm를 치환한 경우 2.76 mm에서 0.98 mm로 64.5% 감소하였고, Lean Con’c로 상부층 20 cm를 치환한 경우 2.76 mm에서 0.7 mm로 74.6% 감소하였다. ‘Very soft clay’를 제외한 나머지 조건에서는 비포장도로의 탄성계수와 치환두께별 최대처짐량이 비례하였다. 최대 압축응력의 경우, 비포장도로의 조건 및 포장두께에 따른 차이가 크지 않았으며, 수직변형률εz 및 수평변형률εt 결과와 일치한다. 3종의 개선공법별 적정치환두께를 파악하기 위하여 비포장도로 조건별로 나누어 개선공법 치환두께에 따른 변형률을 비교분석할 필요가 있다.
Table 6.
Computational analysis results (CTB)
Table 7.
Computational analysis results (ATB)
Table 8.
Computational analysis results (Lean Con’c)
4.2 비포장도로 구성별 전산해석 결과
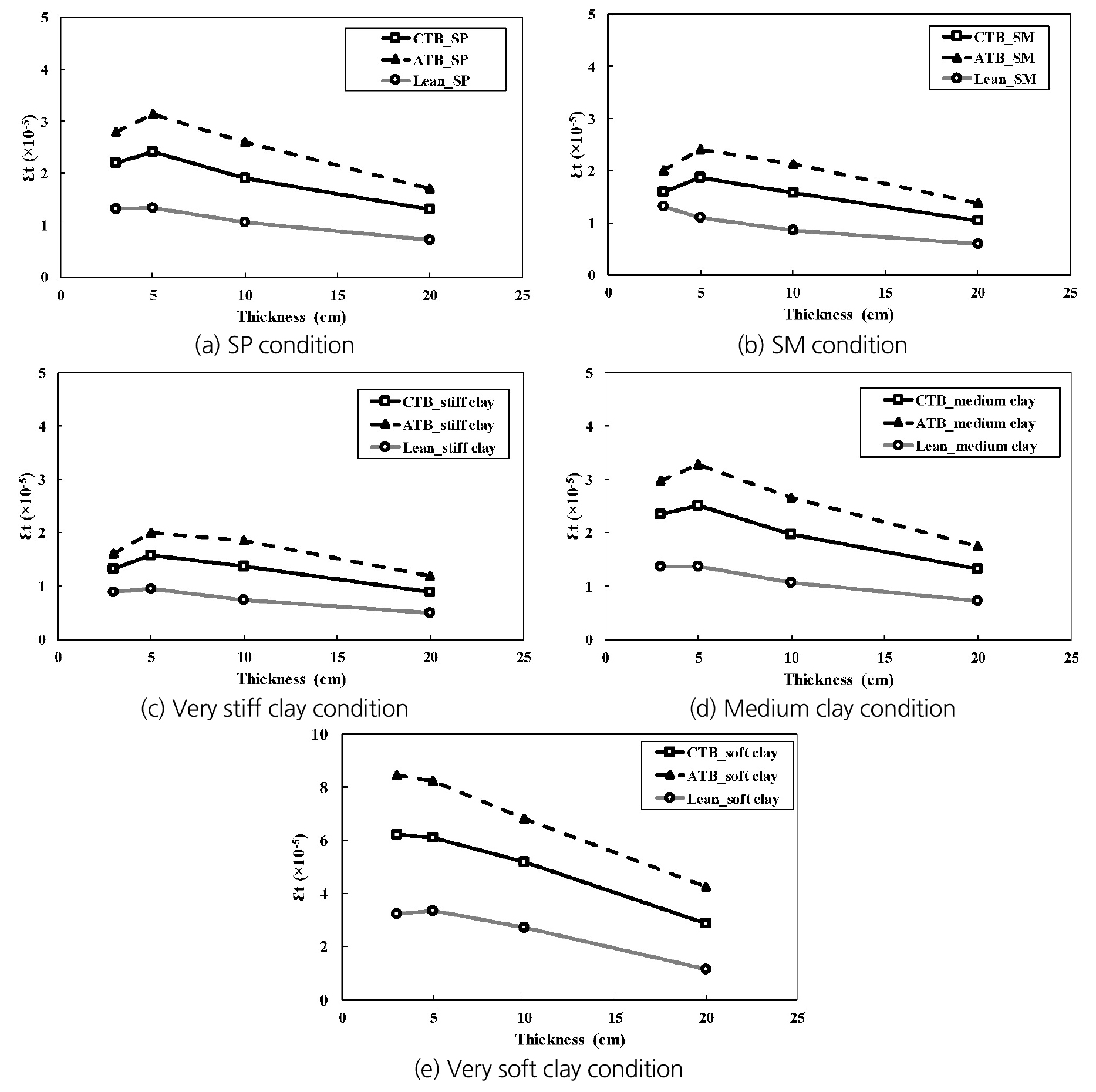
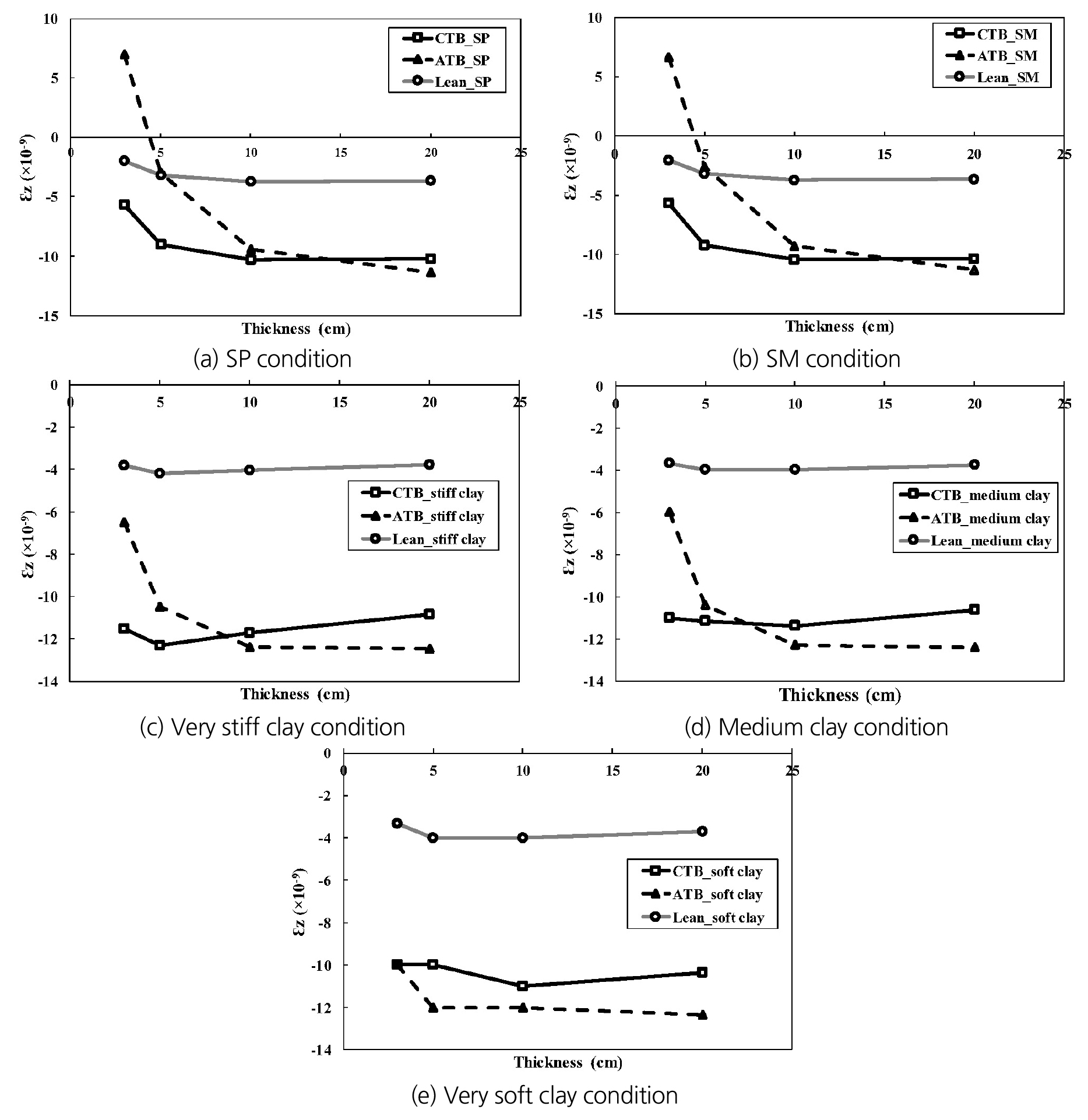
Fig. 10 및 Fig. 11은 전산해석 결과를 비포장도로 조건별로 구분하여 개선공법 치환두께에 따른 변형률을 비교한 것이다. 수평변형률 εt의 경우, ‘Very soft clay’ 조건을 제외한 다른 조건에서는 개선공법 3 cm 치환을 5 cm로 증가하였을 때 수평변형률이 증가하였다가, 계속적인 치환두께의 증가에 따라 수평변형률이 감소하는 것을 확인할 수 있다. 하지만 ‘Very soft clay’의 경우, 개선공법 3 cm부터 두께가 증가하면서 수평변형률이 감소하였다. 개선공법의 탄성계수에 따라 수평변형률의 변화량의 차이가 상이하였다. ATB의 경우 모든 조건에서 수평변형률이 가장 크게 계산되었으며, Lean Con’c의 경우 모든 조건에서 수평변형률의 변화가 가장 적었다. 이러한 경향은 수직변형률 εz의 변화에서도 관찰할 수 있다. 비포장도로의 구성이 SP, SM 조건일 경우, ATB 3 cm로 치환하면 항복 또는 소성이 발생하여 수직변형률이 압축방향(-)가 아닌 인장방향(+)이 나온 것을 확인할 수 있고, 해당 조건에서 ATB를 5 cm 이상 치환하면 압축방향의 수직변형이 발생하나 변형률이 더 증가하였다. CTB 및 Lean Con’c는 모든 조건에서 압축방향의 수직변형률이 발생하였다.
CTB의 경우 ‘Very soft clay’ 및 ‘medium clay’ 조건에서 치환두께가 10 cm 이상일 때 수직변형률이 감소하였으며, ‘Very stiff clay’ 조건에서는 치환두께가 5 cm 이상일 때 수직변형률이 감소하였다. SP, SM 조건에서는 치환두께 10 cm 이상일 때 변형률이 일정하였다.
ATB의 경우, 모든 조건에서도 수직변형률이 감소하는 양상은 발견되지 않았으며, 특히 SP, SM 조건에서는 치환두께에 따른 변형률의 차이가 큰 것을 확인할 수 있다.
Lean Con’c의 경우, 모든 조건에서 치환두께에 따른 변형률의 차이가 가장 미소하였으며, 수직변형률의 크기가 CTB, ATB에 비해 낮았다. 치환두께가 5 cm 이상일 때 수직변형률이 일정하거나 감소하는 경향이 나타났다. 따라서, 비포장도로 개선을 위한 3종의 공법의 적절한 두께는 전산해석상 CTB의 경우 10~20 cm이고, ATB는 20 cm 이상, Lean Con’c는 5~10 cm가 적절하다.
5. 결 론
본 연구에서는 라테라이트로 주로 구성된 라오스 비포장도로의 품질을 개선시키고자 3종의 개선공법(CTB, ATB 그리고 Lean Con’c)의 적정치환두께를 전산해석을 통해 실시하였고 결과를 다음과 같이 요약하였다.
1. 물성을 파악하기 위해 비포장도로를 구성하는 흙을 채취하여 AASHO분류 및 통일분류법으로 공학적 분류를 실시하였다. 액성한계 LL은 43.2, 소성한계 PL은 28.2이며, 소성지수 PI는 15.0이 나와 AASHTO분류법으로 분류한 결과 A-2-7로 분류되며, 높은 가소성의 실트(High-plasicity silts)로 정의된다. USCS분류법으로는 분류표상에선 기호 SP(자갈 섞인 입도분포가 나쁜 모래)으로 분류되지만 소성도 차트에서는 기호 CL(세립질 무기점토) 또는 ML(세립질 무기 실트)로 분류되었다.
2. AASHTO분류법 및 통일분류법으로 분류된 흙의 물성과 HL-93 트럭 탄뎀 모델(Tandem model)을 사용하여 전산해석을 실시하였다. 전산해석으로 최대처짐량을 비교분석한 결과, 개선공법의 치환두께가 증가함에 따라 최대처짐량이 감소하였으며, 비포장도로가 우기상태일 때를 묘사한 ‘Very soft clay’에서 가장 크게 나타났다. ‘Very soft clay’를 제외한 나머지 조건에서는 비포장도로의 탄성계수와 치환두께 별 최대처짐량이 비례하였다. 최대 압축응력의 경우, 비포장도로의 조건 및 포장두께에 따른 차이가 크지 않았으며, 수직변형률εz 및 수평변형률εt 결과와 일치한다.
3. 3종의 개선공법에 대한 적정치환두께를 계산하기 위하여 전산해석 결과를 비포장도로 조건별로 구분하여 개선공법 치환두께에 따른 변형률을 비교하였다. 수평변형률 εt의 경우, ‘Very soft clay’ 조건을 제외한 다른 조건에서는 개선공법 3 cm 치환을 5 cm로 증가하였을 때 수평변형률이 증가하였다가, 계속적인 치환두께의 증가에 따라 수평변형률이 감소하였다. ATB의 경우 모든 조건에서 수평변형률 및 수직변형률이 가장 크게 계산되었으며, Lean Con’c의 경우 모든 조건에서 수평변형률 및 수직변형률이 가장 작았고, 치환두께에 따른 변화량이 가장 적었다.
4. 비포장도로의 지반조건을 고려한 개선공법의 적정치환 두께를 전산해석으로 수평변형률 및 수직변형률을 비교분석한 결과, 전산해석상 CTB의 경우 10~20 cm이고, ATB는 20 cm 이상, Lean Con’c는 5~10 cm가 적절하다. 본 연구의 전산해석에는 지반조건의 균일성, 전단무시, 배수 등 다양한 가정이 주어졌기 때문에 이를 고려하여 안전율을 적용하여 치환두께를 산정해야 한다. 따라서 토양의 배수, 토양의 상태(Non-linear 및 viscoelastic), 층별 미끄럼 및 마찰 고려, 교통재하하중의 변경 등으로 다양하게 유한요소해석을 추가하여 연구내용을 보충할 예정이다.













